中心議題:
- 溫度升高對LED各光電參數及可靠性的影響
led(Light Emitting Diode:發光二極管)作為第四代光源,因其節能、環保、長壽命等優點極具發展前景。但因為LED對溫度極為敏感,結溫升高會影響LED的壽命、光效、光色(波長)、色溫、光形(配光)以及正向電壓、最大注入電流、光度、色度、電氣參數以及可靠性等。本文詳細分析了溫度升高對LED各光電參數及可靠性的影響,以利于LED芯片和LED照明產品的設計開發。
一、溫度過高會對LED造成永久性破壞
(1)LED工作溫度超過芯片的承載溫度將會使LED的發光效率快速降低,產生明顯的光衰,并造成損壞;
(2)LED多以透明環氧樹脂封裝,若結溫超過固相轉變溫度(通常為125℃),封裝材料會向橡膠狀轉變并且熱膨脹系數驟升,從而導致LED開路和失效。
二、溫度升高會縮短LED的壽命
LED的壽命表現為它的光衰,也就是時間長了,亮度就越來越低,直到最后熄滅。通常定義LED光通量衰減30%的時間為其壽命。
通常造成LED光衰的原因有以下幾方面:
(1)LED芯片材料內存在的缺陷在較高溫度時會快速增殖、繁衍,直至侵入發光區,形成大量的非輻射復合中心,嚴重降低LED的發光效率。另外,在高溫條件下,材料內的微缺陷及來自界面與電板的快擴雜質也會引入發光區,形成大量的深能級,同樣會加速LED器件的光衰。
(2)高溫時透明環氧樹脂會變性、發黃,影響其透光性能,工作溫度越高這種過程將進行得越快,這是LED光衰的又一個主要原因。
(3)熒光粉的光衰也是影響LED光衰的一個主要原因,因為熒光粉在高溫下的衰減十分嚴重。
所以,高溫是造成LED光衰,縮短LED壽命的主要根源。
不同品牌LED的光衰是不同的,通常LED廠家會給出一套標準的光衰曲線。例如Philips Lumiled公司的Luxeon K2的光衰曲線如圖1所示,當結溫從115℃提高到135℃,其壽命就會從50,000小時縮短到20,000小時。

圖1 Lumiled Luxeon K2的光衰曲線
高溫導致的LED光通量衰減是不可恢復的,LED沒有發生不可恢復的光衰減前的光通量,稱為LED的“初始光通量”。
三、溫度升高會降低LED的發光效率
溫度影響LED光效的原因包括以下幾個方面:
(1)溫度升高,電子與空穴的濃度會增加,禁帶寬度會減小,電子遷移率將減小。
(2)溫度升高,勢阱中電子與空穴的輻射復合幾率降低,造成非輻射復合(產生熱量),從而降低LED的內量子效率。
(3)溫度升高導致芯片的藍光波峰向長波方向偏移,使芯片的發射波長和熒光粉的激發波長不匹配,也會造成白光LED 外部光提取效率的降低。
(4)隨著溫度上升,熒光粉量子效率降低,出光減少,LED 的外部光提取效率降低。
(5)硅膠性能受環境溫度影響較大。隨著溫度升高,硅膠內部的熱應力加大,導致硅膠的折射率降低,從而影響LED光效。
一般情況下,光通量隨結溫的增加而減小的效應是可逆的。也就是說當溫度回復到初始溫度時,光輸出通量會有一個恢復性的增長。這是因為材料的一些相關參數會隨溫度發生變化,從而導致LED器件參數的變化,影響LED的光輸出。當溫度恢復至初態時,LED器件參數的變化隨之消失,LED光輸出也會恢復至初態值。對此,LED的光通量值有“冷流明”和“熱流明”之 分,分別表示LED結點在室溫和某一溫度下時LED的光輸出。
一般,LED光通量與結溫的關系可以用式(1)表示:
(1)
其中,
表示結溫T1時的光通量(lm);
表示結溫T2時的光通量(lm);K為溫度系數(1/℃);
為LED結溫的差值,即
。
一般情況下, 值可由實驗測定。例如對于InGaAlP基LED相關的值如表1所示
| LED材質類別 | 溫度系數 (1/℃) |
| InGaAlP/GaAs 橙紅色 | 9.52×10-3 |
| InGaAlP/GaAs 黃色 |
1.11×10-2 |
| InGaAlP/GaP 高亮紅 | 9.52×10-3 |
| InGaAlP/GaP 黃色 | 9.52×10-2 |
表1 不同材質類別LED的溫度系數[page]

圖2 不同k值LED的光輸出(百分比)隨結溫的變化關系
由圖2可以看出:LED光效溫度系數k最好在2.0×10-3以下,這樣由溫度引起的LED光輸出降低才不會很大。例如,InGaN類LED的 k值約為1.2×10-3,結溫125℃時光輸出相對結溫25℃時降低約11%。
目前,使用最多的GaN基白光LED的溫度系數大多在2.0×10-3~4.0×10-3之間,有的甚至達到了5.0×10-3。k值偏大的LED,更要注意控制結溫。
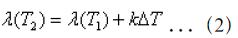
四、溫度對LED發光波長(光色)的影響
LED的發光波長一般可分成峰值波長與主波長。峰值波長即光強最大的波長,而主波長可由X、Y色度坐標決定,反映了人眼所感知的顏色。顯然,結溫所引致的LED發光波長的變化將直接造成人眼對LED發光顏色的不同感受。對于一個LED器件,發光區材料的禁帶寬度值直接決定了器件發光的波長或顏色。溫度升高,材料的禁帶寬度將減小,導致器件發光波長變長,顏色發生紅移。
通常可將波長隨結溫的變化表示為式(2):

其中:
表示結溫T1時的波長(nm);
表示結溫T2時的波長(nm);K表示波長隨溫度變化的系數,一般在0.1~0.3nm/K之間;
。
五、溫度對LED正向電壓的影響
正向電壓是判定LED性能的一個重要參量,其大小取決于半導體材料的特性、芯片尺寸以及器件的成結與電極制作工藝。相對于20mA的正向電流通常InGaAlP LED的正向電壓在1.8~2.2V之間,InGaN LED的正向電壓處在3.0~3.5V之間。在小電流近似下,LED器件的正向壓降可由式(3)表示:
(3)
式中,Vf為正向電壓,If為正向電流,I0為反向飽和電流,q為電子電荷,k是玻爾茲曼常數,Rs是串聯電阻,n是表征P/N結完美性的一個參量,處在1~2之間。式(3)的右邊只有反向飽和電流I0與溫度密切相關,I0值隨結溫的升高而增大,導致正向電壓Vf值的下降。實驗指出,在輸入電流恒定的情況下,對于一個確定的LED器件,兩端的正向壓降與溫度的關系可由式(4)表示:
(4)
式(4)中,
與
分別表示結溫為T2與T1時的正向壓降,K是壓降隨溫度變化的系數,一般在-1.5~-2.5mV/K 之間;
。
當電流固定時,溫度升高,LED正向電壓會下降。由于正向電壓與溫度的關系接近線性,所以大多LED熱阻測試儀器利用LED的這一特性測量其熱阻或結溫。
六、溫度過高會限制LED的最大注入電流
溫度升高,材料的禁帶寬度將減小,導致最大注入電流減小。

圖3 Cree 3WXLampXP-E最大注入電流與結溫的關系
另外,溫度還會影響LED的配光曲線、色溫及顯色性。
溫度影響透光材料折射率,會改變LED出光光線的空間分布,即配光曲線。
溫度過高,藍光波峰長移,熒光粉波峰變平坦而劣化,會導致LED色溫偏高、顯色性變差。
七、總結
大功率LED因發熱量大,導致其工作溫度偏高,性能急劇下降。只有深入了解LED的溫度特性,開發低熱阻的LED芯片及LED應用產品,才能真正體現LED的優越性。





