- 線性穩壓器的限流電路結構
- 線性穩壓器的電流采樣電路
- 線性穩壓器的性能參數和結果
目前伴隨著便攜移動設備的快速發展,電源芯片得到更廣泛的應用,LDO芯片即是一種重要的電源芯片。但在發生輸出短路或負載電流過大的情況,LDO穩壓器可能會損壞,特別是在短路情況下,LDO存在過大的電流從調整管通過,進而可能燒壞調整管致使芯片無法工作。因此需要設計一種用于LDO穩壓器的限流電路,能在過載或短路情況下及時關閉電源系統。
電路結構
這種限流電路的主要結構包括:電流采樣電路、電流比較電路和基準源電路。如圖1所示,它將從LDO輸出電路得到的采樣電流,與基準電流(鏡像于基準源)作比較。根據實際需要,設定當輸出驅動電流大于100mA時,采樣電流大于基準電流,比較器翻轉輸出低電平,經反相器整形后得到邏輯0,由此LDO被關閉,從而實現限流功能。
1電流采樣電路
如圖1所示,電流采樣電路包括MP5、MP4、MP3、MN2和MN1。因為MP5和MP6均工作在飽和區,為了使MP5更好地等比例鏡像LDO的調整管(PMOS驅動管)MP6的電流,特使用MN1、MN2、MP3和MP4組成自偏置的鏡像陣列,以保證VX=VY,Vds_p5=Vds_p6。所以根據飽和區電流公式得到,N1I_p5=N1Is=N1Is1=I_p6。為使M3電流與Is更好的匹配,根據經驗值并考慮功耗因素,特意將MN1、MN2和M3的過飽和電壓提高到0.3V。

圖1電流采樣電路與電流比較電路
2電流比較電路
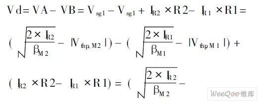
電流比較電路由電壓比較器A1,若干電阻和MOS管構成。參考圖2可知,電流比較電路的左半部分將電流轉化為電壓,而A1比較兩者電壓差給出判斷電壓Vc。

圖2比較器A1電路
因為M1,M2和M3均工作在飽和區,有
Is=N2×Is2=N2×I1=N2×IR1。
VA=VDD-Vsg1-IR1×R1;
VB=VDD-Vsg2-IR2×R2
由此可得:

為了簡便計算,設當Vd=0時,公式(1)中前一個括號和后一個括號分別為零,那么整理后得到

,代入輸出電流Io和基準電流Ir后得到:

當Io=100mA時,Vd=0,比較器A1翻轉,LDO關閉。設定N1=200,N2=4,M=4,Ir=10uA,得到M1和M2的寬長比之比和R1與R2的電阻之比。[page]
那么利用PMOS的飽和區電流公式可得M1與M2的具體尺寸。為使此時電壓比較器A1性能更佳,設定VB為VDD的一半,可求出R2阻值,再根據公式(2)得到的電阻比例,便可得到R1阻值。
另外,為使限流電路能應用在較復雜的電源條件下,當電荷泵充當電源時,該電路設計一方面提高A1的PSRR,另一方面如上所述,利用M1、M2管和電阻R1、R2,降低電源VDD的抖動對A1輸入端的影響。
在輸出端加入退耦電容Cde,以防止高頻干擾產生誤判斷。
為提高PSRR參數,A1選擇跨導放大電路,并且增大PMOS的溝道長度。同時為抑制噪聲干擾,在尾電流一定的條件下,增大輸入差分對的寬長比。
利用Hspice仿真得到比較器A1的幅頻曲線和PSRR,如圖3所示。

圖3比較器A1的幅頻曲線和PSRR曲線
由此可知,這種比較器低頻增益為60db,PSRR約為160db,當頻率為1M時增益大于40db,而PSRR大于80db,所以比較器能夠滿足限流性能要求。
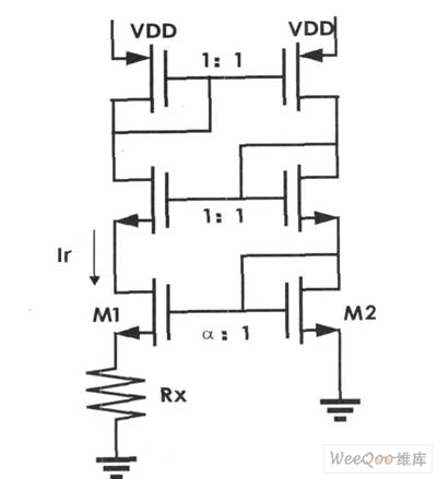
3基準源
基準源電路采用倍乘基準自偏置電路。圖4中NMOS采用共源共柵結構,用以降低電源波動對基準電流的影響。

圖4基準源電路。
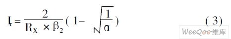
由圖可推得基準電流:

因為溝道調制效應對長溝道器件影響比對短溝道器件影響小,因而在設計基準源及其相關電流鏡時,MOS管的溝道長度為最小尺寸的15倍。同時利用dummy管和差指MOS管等版圖技術,來進一步保證鏡像過程中的電流匹配。
3性能參數和結果
將以上設計的限流電路嵌入某穩壓芯片(內含電荷泵電路)中,實現流片量產(CMOS工藝)。當VDD=3V時,通過測量量產芯片得到輸出電流極限數據。統計如圖5所示,可知當輸出電流處于100~120mA范圍內時,限流電路開始工作,關閉系統即保護LDO安全。由此可見,本設計電路結構簡單,功能可靠,可廣泛應用于電源芯片中。

圖5統計圖


