【導讀】MEMS(Micro Electro Mechanical System,微機電系統)技術被廣泛應用于光纖通信系統中,MEMS技術與光學技術的結合,通常稱作MOEMS技術。最為常用的MOEMS器件包括光衰減器VOA、光開關OS、可調光學濾波器TOF、動態增益均衡器DGE、波長選擇開關WSS和矩陣光開關OXC。
MEMS(Micro Electro Mechanical System,微機電系統)技術被廣泛應用于光纖通信系統中,MEMS技術與光學技術的結合,通常稱作MOEMS技術。最為常用的MOEMS器件包括光衰減器VOA、光開關OS、可調光學濾波器TOF、動態增益均衡器DGE、波長選擇開關WSS和矩陣光開關OXC。
VOA在光纖通信系統中常用于光功率均衡,在各種技術方案中,MEMS VOA具有尺寸小、成本低和易于制造的優勢。最常用的MEMS VOA有兩類:MEMS Shutter型和MEMS微鏡型,前者通常以熱效應驅動,后者通常以靜電力驅動。
MEMS Shutter型VOA
基于MEMS Shutter的VOA結構如圖1所示,MEMS Shutter被插入兩根光纖之間的光路,衰減量取決于被阻擋的光束截面大小。在實際應用中,這種VOA也可以設計成反射型。

圖1. 基于MEMS shutter的VOA結構
MEMS微鏡型VOA
如圖2所示為基于MEMS扭鏡的VOA結構,它以雙光纖準直器的兩根尾纖作為輸入/輸出端口,準直光束被MEMS微鏡反射偏轉,從而聯通輸入/輸出端口之間的光路。扭動微鏡讓光束發生偏轉,從而產生光功率的衰減。

圖2. 基于MEMS扭鏡的VOA結構
MEMS扭鏡通常有兩種結構,即平板電極和梳齒電極,如圖3所示。考慮0~20dB的衰減范圍,前者通常需要>10V的驅動電壓,后者可將驅動電壓降至5V以下。然而,僅僅一個微小的粉塵顆粒就會卡住梳齒電極,因此其生產良率較低。采用梳齒電極的MEMS微鏡,通常需要在超凈環境下封裝。

圖3. 兩類MEMS扭鏡:平板電極和梳齒電極
MEMS微鏡型VOA中的WDL問題
基于MEMS shutter和MEMS微鏡的VOA均有廣泛應用,前者性能指標較好,但裝配工藝相對復雜;后者易于裝配但WDL(波長相關損耗)相對較大。在寬帶應用中,此類VOA會對不同波長產生不同的衰減量,此現象定義為WDL。寬帶應用中,要求WDL指標越小越好。
WDL問題源于單模光纖SMF中的模場色散,我們知道,光纖中的不同波長具有不同的模場直徑,長波的模場直徑更大一些。圖4所示為光纖中模場的色散情況。

圖4. 光纖中模場色散情況
如圖4所示,光束被MEMS微鏡反射偏轉,不同波長的的光斑均偏離出射光纖的纖芯。在未經優化的VOA中,所有波長的光斑具有相同的偏移量。如式(1),衰減量A取決于偏移量X和模場半徑ω。

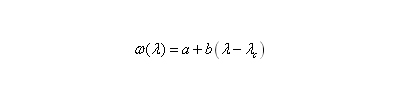
(1)在一個相對有限的波長范圍內,如C波段(1.53~1.57μm),單模光纖中的模場色散情況可以式(2)作線性近似處理[3]。

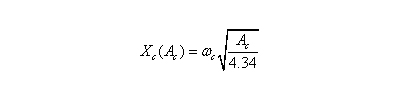
(2)對于常用的康寧公司SMF-28型單模光纖,上式中的系數為a=5.2μm、b=3.11@λc=1.55μm。當中心波長λc處的衰減量Ac給定時,得到光斑的偏移量Xc如式(3)。

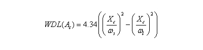
(3)綜合式(1-3)可得到波長范圍λs~λl內的WDL如式(4),其中下標s, c, l分別代表波段范圍內的短波、中波和長波。

(4)根據式(4),當VOA的衰減量Ac設置越大時,光斑的偏移量Xc也越大,因此會產生更大的WDL,如圖5, 圖6所示。根據圖6,在衰減范圍0~20dB和波長范圍1.53~1.57μm之內,最大WDL可達0.96dB。商用MEMS VOA可測得最大WDL為1.5dB,這是因為光學系統色散的影響,造成不同波長的光斑在輸出光纖端面的偏移量不同。這種情況與圖4所示情況不同,在圖4中,所有光斑具有相同的偏移量。

圖5. 對應不同衰減水平的WDL

圖6. 對應不同衰減水平的WDL
MEMS微鏡型VOA的WDL優化
MEMS微鏡型VOA中的WDL源于兩個因素:模場色散和光學系統色散,兩個因素的影響累加起來,讓最大WDL達到1.5dB。那么這兩個因素的影響能否相互抵消,以助于減小WDL呢?答案是可以,但需要精細的分析和設計。
根據式(1),長波具有更大的模場直徑,因此其衰減量更小。如圖4.16所示,如果光學系統能夠對長波的光斑產生更大的偏移量,就可以增加長波的衰減量,從而對衰減譜線產生均衡作用。

圖7. 光學系統的色散與模場色散相互抵消情況
然而,根據式(4),因兩個因素產生的WDL,只能在某個特定的衰減水平Ac下完全相互抵消。當VOA器件的衰減量被設置為一個異于Ac的數值時,將會存在剩余WDL,如圖8所示。
從圖8中看到,在優化之前,最大WDL產生于衰減量為20dB時。如果通過優化,將衰減量為20dB時的WDL完全抵消,則最大WDL產生于衰減量為4dB時。 如果將衰減量為13dB時的WDL完全抵消,則在0~20dB的衰減范圍內,最大WDL將<0.2dB。

圖8. 兩個引起WDL的因素相互抵消情況
目前已有各種方案,可通過光學系統產生相反的色散。在圖9中,準直透鏡與MEMS微鏡之間插入了一個棱鏡,因而光學系統的色散與模場色散相互抵消。然而,額外加入的棱鏡會增加VOA器件的成本和復雜度。圖10展示了另一個解決方案,該方案要求制造準直透鏡的玻璃材料具有很高的色散,并且透鏡前端面傾角>10°(在現有器件中,這個角度通常為8°)[4]。

圖9 通過引入棱鏡來優化WDL ; 圖10 通過高色散的準直透鏡來優化WDL
基于對光學系統色散的透徹分析,華中科技大學的萬助軍等人提出了第三種解決方案,準直透鏡的材料為常用的N-SF11玻璃,透鏡的曲率半徑也是常用的R=1.419mm。為了優化WDL指標,得到準直透鏡的其他參數之間的關聯曲線如圖4.20所示,曲線上任意一點給出準直透鏡的一組參數:端面角度φ和透鏡長度L。基于這些參數加工準直透鏡,VOA器件的WDL指標將得到優化。注意圖11中的端面角度φ均為負值,因此雙光纖插針與準直透鏡需要按照圖12(d)中的方向進行裝配,而非如圖12(c)中的現有MEMS VOA裝配方式。他們最終裝配的MEMS微鏡VOA如圖13所示,據報道,在衰減范圍0~20dB和波長范圍1.53~1.57μm之內,測得最大WDL<0.4dB。

圖10. WDL優化之后準直透鏡參數之間的關系

圖11. 通過調整準直透鏡端面角度優化WDL指標

圖12. MEMS微鏡VOA樣品
隨著DWDM技術的快速發展,MEMS VOA的在光通信網絡中的應用將越來越廣泛。億源通立足于現有業務的需求以及面向未來網絡發展需求,推出了一系列自主研發的MEMS技術產品, 包括1×48通道的光開關, 與 WDM、PLC 或 PD 集成的 MEMS 光開關模塊,以及MCS模塊等。
免責聲明:本文為轉載文章,轉載此文目的在于傳遞更多信息,版權歸原作者所有。本文所用視頻、圖片、文字如涉及作品版權問題,請聯系小編進行處理。





