【導讀】現代的無線基礎設施的運行遵從CPRI協議,即公共射頻接口協議,使用光纖來傳送相位、數據、頻率及控制信息。隨著無線數據需求的逐漸增大,運營商及設備供應商都承受著壓力,為節省運營成本及投入,在基帶單元和射頻單元中采用了多條高速光纖。
本文介紹了使用Mu率壓縮對高斯波形進行壓縮的方法,例如,CPRI接口所使用的基帶IQ數據。Mu率壓縮通常用在音頻應用中,實現的效率很高,但是對于基帶信號,保真度損失較大。本文介紹偏置二次方方法,減少了分段數量,高效的獲得更適合基帶信號的低Mu值。這一靈活的壓縮方法提供2:1壓縮比,對于標準LTE(長期發展)測試波形,EVM (誤差矢量幅度)劣化不到1%。
典型的LTE宏射頻基站系統包括兩部分:基帶處理和射頻。這些組成一般通過光纖通道連接,協議接口由名為CPRI的公開規范進行定義。在這一規范中,這些模塊被定義為REC (射頻設備控制器)和RE (射頻設備)。請參見圖1。另一種類似的接口是OBSAI (開放基站體系結構計劃)。
CPRI定義了各種拓撲,包括點對點、點對多點、鏈,以及環形拓撲。CPRI傳送同步、C&M (控制和管理),以及基帶IQ數據。

CPRI是由密切協作的業界多家OEM定義的。最初是為3GPP UTRA (UMTS)開發的,但是后來擴展到覆蓋了WiMAX、3GPP E-UTRA (LTE),以及3GPP GSM。隨著無線標準的發展,IQ數據的帶寬需求急劇增長。


[page]
Mu率壓縮
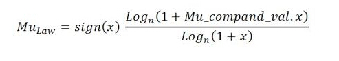
Mu率壓縮這種方法在數值范圍內重新分配數值,這樣,當進行后續的量化時,能夠降低信號保真度損失。采用算術函數進行重新分配,從零開始擴展數字。通過選擇常數Mu_compand_val來控制擴展率。

Mu率壓縮通常用在音頻壓縮中,是ITU-T建議G.711和G.191推薦的方法。在這些音頻壓縮方法中,設定了較大的Mu_compand_val=255值。它產生2n指數,通過直接位移實現分段線性逼近,位移量由指數決定(參見表2)。圖3顯示了分段數和8位輸出。


3GPP測試和要求
蜂窩射頻系統的信號保真度是由3GPP定義的。測試規范TS 36.104以EVM (誤碼矢量測量)定義了信號保真度。EVM是從理想星座點到測量點的矢量大小。
Mu率/ A率測試
使用了各種Mu_compand_val值進行壓縮和解壓縮。圖4顯示了Mu_compand_val與EVM對比曲線,以藍色表示A率,紅色表示Mu率。較大的Mu值將指數增加的采樣數映射為同樣的指數,對于64QAM數據,其結果非常差。進行一次簡單量化,Mu_compand_val=255時,EVM較差。與ITU建議相比,顯然需要很淺的指數/擴展比。


[page]
3GPP測量
實現之后,使用3GPP測試模型和業界標準測量設備,進行實際的3GPP測量。圖6顯示了E-UTRA解調后的波形。在這一特殊的結果中,使用實際硬件,Mu_compand_val被設置為8,得到了平均EVM為0.791%。

CPRI標準提供了幀結構和通用方法,映射CPRI幀中的IQ數據,但是并沒有嚴格的標準,供應商實現了各種不同的方法。由于可以使用不同的位寬度,因此,CPRI壓縮增大了難度。IQ映射器的實現比較獨特,每家供應商都為這一模塊開發了定制RTL。Altera開發的工具極大的簡化了這一過程。該工具基于Excel,其中,可以選擇曲線斜率,然后,針對每一IQ采樣,在單元中填入AxC載波。使用填充位,使幀填滿。CPRI幀完全填滿后,VB宏會為某一映射結構自動生成RTL代碼。如果需要多次使用,工具可以用于自動生成幾個IQ映射器實例。具有3路AXC載波的IQ映射器,每個有16位I和Q,相似的例子具有8位I和Q,分別如圖7和圖8所示。工具生成RTL后,代碼被附到Altera CPRI megacore IP中,生成完整的CPRI設計。


相關閱讀:
高精度、交直流電壓數據采集系統設計攻略
單片機達人解密:指令數據寫哪了?
智能家電的無線數據傳輸電路設計




