中心議題:
- S參數簡介
- 利用S參數對RF開關模型進行高頻驗證
解決方案:
- 設計和測量傳輸線路阻抗
- PCB設計和實現
- 使用S參數
S參數是創建和驗證寬帶寬的高頻模型的有用工具。一旦記錄下來,便可以利用S參數計算許多其它電路特性,以及創建匹配網絡。然而,設計測量系統時,必須考慮一些必要的注意事項,其中最重要的是校準方法的選擇和PCB設計。通過采取本文所述的措施,可以避免某些潛在的問題。
1 S參數簡介
S (散射)參數用于表征使用匹配阻抗的電氣網絡。這里的散射是電流或電壓在傳輸線路中斷情況下所受影響的方式。利用。 S參數可以將一個器件看作一個具有輸入和相應輸出的"黑匣子",這樣就可以進行系統建模而不必關心其實際結構的復雜細節。
當今集成電路的帶寬不斷提高,因而必須在寬頻率范圍內表征其性能。傳統的低頻參數,如電阻、電容和增益等,可能與頻率有關,因此可能無法全面描述IC在目標頻率的性能。此外,要在整個頻率范圍內表征一個復雜IC的每個參數可能是無法實現的,而使用S參數的系統級表征則可以提供更好的數據。
可以使用一個簡單的RF繼電器來演示高頻模型驗證技術。如圖1所示,可以將RF繼電器看作一個三端口器件:一個輸入端口、一個輸出端口和一個用于開關電路的控制端口。如果器件性能與控制端無關,一旦設定后,就可以將繼電器簡化為一個雙端口器件。因此,可以通過觀察輸入端和輸出端的行為來全面表征該器件。

圖1. RF繼電器模型
要理解S參數的概念,必須知道一些傳輸線理論。與大家熟悉的直流理論相似,在高頻時,最大傳輸功率與電源的阻抗和負載的阻抗有關。來自一個阻抗為ZS,的電源的電壓、電流和功率,沿著一條阻抗為 Z0, 的傳輸線路,以波的形式行進到阻抗為 ZL.的負載。如果 ZL = Z0, 則全部功率都會從電源傳輸到負載。如果 ZL ≠ Z0,則某些功率會從負載反射回電源,不會發生最大功率傳輸。入射波和反射波之間的關系通過反射系數Γ來表示,它是一個復數,包含關于信號的幅度和相位信息。
如果 Z0 和 ZL 完全匹配,則不會發生反射,Γ = 0.如果 ZL i開路或短路,則Γ = 1,表示完全不匹配,所有功率都反射回 ZS. 大多數無源系統中,ZL不與Z0, 完全相等,因此0<<Γ<<1.要使Γ大于1,系統必須包含一個增益元件,但RF繼電器示例將不考慮這一情況。反射系數可以表示為相關阻抗的函數,因此Γ可以通過下式計算:

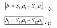
假設傳輸線路為一個雙端口網絡,如圖2所示。在這種表示方法中,可以看出,每個行進波都由兩部分組成。從雙端口器件的輸出端流到負載的總行進波部分, b2, 實際上是由雙端口器件的輸出端反射的一部分 a2 和透射器件的一部分a1,組成。反之,從器件輸入端流回電源的總行進波 b1 則是由輸入端反射的一部分 a1 和返回器件的一部分a2組成

圖2. S參數模型
[page]
根據以上的說明,可以利用S參數列出用來確定反射波值的公式。反射波和發射波計算公式分別如式3和式4所示。

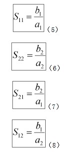
如果ZS=Z0(雙端品輸入阻抗),則不會發生反射,a1=0,如果ZL=Z0(雙端口輸出的阻抗),則不會發生反射,a2=0,因此,我們可以根據匹配條件定義S參數,如下所示:

其中:S11 = 輸入反射系數;S12 = 反向透射系數;S21 = 正向透射系數;S22 = 反向反射系數
通過這些公式可以完整描述任何雙端口系統,正向和反向增益分別用S21和S12, 來表征,正向和反向反射功率分別用S11 和 S22來表征。
要在實際系統中求解上述參數,ZS, Z0, 和 ZL必須匹配。對于大多數系統,這很容易在寬頻率范圍內實現。
2 設計和測量傳輸線路阻抗
為確保雙端口系統具有匹配的阻抗,必須測量 ZS, Z0, 和 ZL. 多數RF系統工作在50 Ω環境下。 ZS 和 ZL一般受所用矢量網絡分析儀 (VNA)的類型限制,但可以設計 Z0 使之與VNA阻抗匹配。
2.1 傳輸線路設計
傳輸線路的阻抗由線路上的電感和電容的比值設置。圖3所示為一個簡單的傳輸線路模型。

圖3. 傳輸線路的集總元件模型
利用計算目標頻率時的復阻抗的公式,確定獲得特定阻抗所需的 L 和 C的值。調整 L 和 C 的方式取決于傳輸線路模型的類型,最常用的模型是微帶線和共平面波導。模型。利用物理參數,例如從走線到地層的距離、走線寬度和PCB基板介電常數等,可以平衡電感和電容,從而提供所需的阻抗。設計傳輸線路阻抗的最簡單方法是使用阻抗設計程序,此類程序有很多。
2.2 測量阻抗
設計并生產出傳輸線路后,必須測量其阻抗,以驗證設計和實施無誤。一種測量阻抗的方法是使用 時域反射 TDR測量可以反映PCB走線的信號完整度。TDR沿著信號線發送一個快速脈沖,并記錄反射情況,然后利用反射信息計算距離信號源特定長度處的路徑阻抗。利用阻抗信息可以找到信號路徑中的開路或短路,或者分析特定點的傳輸線路阻抗。
TDR的工作原理是:對于一個不匹配的系統,在信號路徑上的不同點,反射會與信號源相加或相減(相長和相消干涉)。如果系統(本例中為傳輸線路)匹配50 Ω,則信號路徑上不會發生發射,信號保持不變。然而,如果信號遇到開路,反射將與信號相加,使之加倍;如果信號遇到短路,反射將通過相減與之抵消。
如果信號遇到一個端接電阻,其值稍高于正確的匹配阻抗,則在TDR響應中會看到一個凸起;若端接電阻值稍低于匹配阻抗,則在TDR響應中會出現一個凹陷。對于容性或感性端接,將看到相似的響應,因為電容在高頻時短路,電感在高頻時開路。
在所有影響TDR響應精度的因素中,最重要的一個是沿信號路徑發送的TDR脈沖的上升時間。脈沖的上升時間越快,則TDR可以分辨的特征越小。
[page]
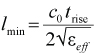
根據TDR設備設定的上升時間,系統可以檢測的兩個不連續點之間的最短空間距離為:
(9)
其中:lmin = 從信號源到不連續點的最短空間距離;c0 = 光在真空中的傳播速度;trise = 系統的上升時間;εeff = 波在其中行進的介質的有效介電常數
若是檢測相對較長的傳輸線路,20 ps到30 ps的上升時間即足夠;但若要檢測集成電路器件的阻抗,則需要比這快得多的上升時間。
記錄TDR阻抗測量結果有助于解決傳輸線路設計的各種問題,如錯誤的阻抗、連接器結點引起的不連續以及焊接相關問題等。
2.3 精確記錄S參數
一旦完成PCB和系統的設計與制造,就必須在設定的功率和一系列頻率下利用VNA記錄下S參數;VNA應經過校準,確保記錄的精確性。校準技術的選擇取決于多種因素,如目標頻率范圍和待測器件(DUT)所需的參考平面等。
3 校準技術
圖4顯示了雙端口系統的完整12項誤差模型及其系統性影響和誤差源。測量頻率范圍會影響校準選擇:頻率越高,則校準誤差越大。隨著更多誤差項變得顯著,必須更換校準技術以適應高頻影響。

圖4. 完整的雙端口12項誤差模型
一種廣為采用的VNA校準技術是SOLT(短路、開路、負載、透射)校準,也稱為TOSM(透射、開路、短路、匹配)校準。它很容易實現,只需要一組已知的標準元件,并在正向和反向兩種條件下進行測量。標準元件可以隨同VNA一起購買,或者從其他制造商購買。對標準元件進行測量后,就可以確定實測響應與已知響應的差異,從而計算系統性誤差。
SOLT校準將VNA測量的參考平面定位于校準期間所用同軸電纜的端部。SOLT校準的缺點是:參考平面之間的任何互連,包括SMA連接器和PCB走線等,都會影響測量;隨著測量頻率提高,這些會變成更大的誤差源。SOLT校準只能消除圖4中顯示的6個誤差項,但它能為低頻測量提供精確的結果,并具有容易實施的優點。
另一種有用的VNA校準技術是TRL(透射、反射、線路)校準。該技術僅基于短傳輸線路的特征阻抗。利用兩條傳輸線路彼此相差較短長度的兩組雙端口測量結果及兩組反射測量結果,就可以確定完整的12項誤差模型。可以在DUT的PCB上設計TRL校準套件,以便利用該校準技術消除傳輸線路設計和互連引起的誤差,并將測量的參考平面從同軸電纜移動到DUT引腳。
以上兩種校準技術各有長處,但TRL可以消除更多誤差源,因而能夠為高頻測量提供更高的精度。然而,TRL需要精確的傳輸線路設計和目標頻率下的精確TRL標準元件,因此更難以實施。SOLT的實施則相對簡單,因為大多數VNA都帶有可以在寬頻率范圍內使用的SOLT標準套件。
4 PCB設計和實現
為了正確校準VNA,適當的PCB設計至關重要。TRL等技術可以補償PCB設計的誤差,但無法完全消除誤差。例如,設計采用TRL校準的PCB時,S21(如RF繼電器的插入損耗等)的值必須很低,為了精確測量S參數,需要考慮透射標準的回損(S11, S22)回損是指阻抗不匹配導致反射回信號源的輸入功率。無論PCB走線的設計多么好,總是存在一定程度的不匹配。大多數PCB制造商只能保證±5%的阻抗匹配精度,甚至達到這一精度也是勉為其難。這種回損會導致VNA指示的插入損耗大于實際存在的插入損耗,因為VNA"認為"它向DUT發送了比實際發送量更大的功率。
隨著要求的插入損耗水平的降低,將有必要減少透射標準貢獻給校準的回損量。而測量頻率越高,就越難以做到這一點。
要減少TRL設計的校準標準的回損,有幾點需要特別注意。首先,傳輸線路設計非常重要,需要與PCB制造商密切協調,確保使用正確的設計、材料和工藝來實現所需的阻抗與頻率曲線。連接器件的選擇至關重要,必須能夠在相關范圍內滿意地工作。選定連接器件后,還有必要確保連接器與PCB之間的結點設計良好,如若不然,它可能會破壞同軸電纜與PCB傳輸線路之間所需的50 Ω阻抗,導致系統回損增大。許多連接器制造商都會提供高頻連接器的正確布局布線圖紙,以及預設計的傳輸線路設計和PCB堆疊。找到一家能按此設計生產的PCB制造商可以大大簡化PCB設計工作。
[page]
其次需要考慮PCB的裝配連接器與PCB傳輸線路之間的結點至關重要,因此連接器的焊接會對過渡產生重大影響。連接不良或未對齊的連接器會破壞電感和電容之間的微妙平衡,從而影響結點的阻抗。圖5是一個焊接不良的連接器結點示例。

圖5. 連接不良的SMA
如果設計程序沒有考慮阻焊膜涂層的介電常數,則它也可能會對傳輸線路的阻抗產生不利影響。在低頻PCB中,這不是一個大問題,但隨著頻率提高,阻焊膜可能會帶來麻煩。
為了確保透射走線的回損是可接受的,有必要利用VNA測量回損。因為系統的參考平面是從連接器到連接器,所以SOLT校準應當足以測量透射走線。一旦確定透射走線的回損性能,就可以通過在走線上執行TDR來監視缺陷。TDR會顯示系統與目標阻抗偏差最大的區域。
在TDR曲線上,應當可以標出系統中對偏差貢獻最大的具體部分。圖6所示為一條傳輸線路走線及其對應的TDR曲線。可以在TDR曲線上定位某些部分的阻抗,從而明白哪些部分造成了最大的回損。從圖中可以看出,SMA與傳輸線路之間的結點偏離50 Ω,并且傳輸線路本身的阻抗也不是很接近50 Ω。為了改善該PCB的性能,需要采取上面所說的一些措施。

圖6. PCB與TDR曲線
5 使用S參數
在某一頻率范圍內表征一個DUT時,S參數可以提供許多好處。除了顯示某一頻率時的增益、損耗或阻抗匹配以外,還可以用Y參數(導納參數)等其它形式替換S參數,以便計算電容等物理參數。Y參數與S參數的唯一區別在于:前者是在目標引腳短路(0 Ω)情況下導出的(公式5到8),而后者則是在匹配50 Ω端接阻抗情況下導出的。可以對Y參數進行實際測量,但它比S參數更難以記錄,因為在寬頻率范圍內造成真正的短路非常困難。由于寬帶50 Ω匹配更容易做到,因此更好的方法是記錄S參數,然后將S參數轉換成Y參數。大部分現代RF軟件包都可以實現這一點。
5.1 計算物理參數
下面舉一個利用S參數來計算目標頻率范圍內電容的例子,考慮圖1所示的RF繼電器。當繼電器開路(即,斷開),時,為了計算繼電器到地的電容,首先必須將S參數記錄轉換為Y參數,也就是將50 Ω環境下的數據轉換為短路端接情況下的數據。從繼電器的物理結構可以明顯看出,當輸出端口接地并且開關斷開時,至地的電容可以通過檢查Y11參數而得知,Y11 衡量送回信號源的功率量。當開關斷開時,所有功率都應被反射回信號源,但實際上,某些功率會到達接地(Y參數定義的要求)的輸出端口,該功率通過電容傳輸到地。因此,將Y11參數的虛部除以2πf便得到目標頻率時RF繼電器到地的電容。
若要計算RF繼電器的電感,可以使用類似的方法,但此時需要用Z(阻抗)參數代替Y參數。Z參數與S參數和Y參數相似,不過它不是使用阻抗匹配或短路,而是使用開路來定義端接。略加考慮便可將此方法應用于所有器件,以計算多種不同的物理參數。
5.2 匹配網絡
S參數的另一個應用是匹配網絡的設計。許多應用要求阻抗匹配以確保在某一頻率實現最佳的功率傳輸。利用S參數,可以測量器件的輸入和輸出阻抗,然后可以在史密斯圖上顯示S參數,并設計適當的匹配網絡。


