【導讀】首先選擇適合通過高頻大電流的Litz線,建議選擇大于100股以上的Litz線。然后選擇高頻低損耗磁環,體積能夠容得下繞制電感所需要的匝數。
01 如何自行繞制高頻線圈
昨天有參加 全國大學生智能汽車競賽[1] 中 無線節能賽題組[2] 的同學在公眾號(TSINGHUAZHUOQING)提問:
問題1: 卓大大,為什么我們的 LCC[3] 充電把電容充滿要一分半(90秒)?桌大大這是為什么啊?

▲ 圖1 車模儲能法拉電容

▲ 圖2 LCC補償回路與接收線圈

▲圖3 接收線圈中的LCC補償回路
問題2: 卓大大,如何自己繞一個2.2uH的線圈?
02 充電時間
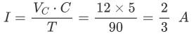
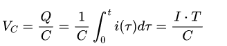
針對第一個問題,電容充電時間。根據電容特性可知,電容上的電壓等于電容電荷Q除以電容容量:
如果使用恒流
充電,那么充電時間就等于
。
根據所使用的電容,是由五個25F(2.7V)的電容串聯形成5F(13.5V)的電容。如果充滿電666需要一分半鐘(90s),那么可以求得充電電流平均為:


▲ 儲能電容為5個25F的電容串聯
這說明充電電流太小了。如果使用在 火中取栗[4] 推文中的LCC補償方案,達到5A的充電電流,則充滿12V的電只需要12秒左右。
所以主要問題出現在你所制作的LCC的網絡補償中。
03 LCC補償網絡
從發送過來的照片來看,你使用了 粘貼銅箔制作了建議的實驗電路[5] ,這是對的,不使用面包板[6] 進行測試是因為面包板不適合做大電流,高頻率的電路測試。
那么影響LCC接收效果的主要原因可能包括:
● LCC網絡的參數計算;
● 制作LCC的器件容量,包括串聯電感
● 肖特基整流橋器件,以及整流形式;
● 電路板的制作
首先,根據【圖2】所顯示的整流濾波電路,你采用的還是以前的 無線節能組[7] 的接收板,采用 倍壓整流[8] 方式對接收電能進行整流。比起全橋整流來講,倍壓整流效率低,這個結論在 火中取栗[9] 中的測量結果得到驗證。所以建議將接收電路修改成全橋整流。
第二部分就是檢查LCC網絡器件的的參數是否符合設定的150kHz下計算出的參數。如果參數不對,不僅會增加靜態功耗,也會降低輸出電流。建議根據 經過標定后的ESP32對于節能信標組充電過程測量[10] 設計方案給出的計算過程進行計算:
【表3-1 設計條件】

【表3-2 參數計算】

【表3-3 實際參數】

04 繞制LCC電感
首先選擇適合通過高頻大電流的Litz線,建議選擇大于100股以上的Litz線。然后選擇高頻低損耗磁環,體積能夠容得下繞制電感所需要的匝數。

▲ 用于測試的T106-2磁環
剩下就是需要確定繞制多少圈Litz。
根據 環形電感計算公式[11] :
◎ 其中參數:
感應系數
本可以從購買到的高頻電感數據手冊中查到。如果沒有查到,也可以通過實際測試獲得。
比如使用多股軟銅絲線先在磁環上繞制若干圈
(比如10圈),然后測量對應的電感量:
。那么該磁環的感應系數就可以計算出來:

請注意,如果繞制的匝數不多,實際電感量還與繞制線圈在磁環上的分布密集與松散的情況有關系。
總結
制作一個良好的無線電能收割裝置,需要從器件的參數、性能、制作工藝等各方面降低損耗,才能夠將無線電能服服帖帖的裝進儲能法拉電容。
參考資料
[1]全國大學生智能汽車競賽:
https://zhuoqing.blog.csdn.net/article/details/110253008
[2]無線節能賽題組:
https://zhuoqing.blog.csdn.net/article/details/115416126
[3]LCC:
https://zhuoqing.blog.csdn.net/article/details/113770750
[4]火中取栗:
https://mp.weixin.qq.com/s?__biz=MzA5NjQyNjc2NQ
&mid=2452239091&idx=1&sn=549a0cea01aa16bd8d16e86b3fad6235&chksm=876edc91b0195587e5efd4995c7e4dfd01f43442c05439e21c0c02aad9a431b45911ef37cb3b&token=723737018&lang=zh_CN#rd*
[5]粘貼銅箔制作了建議的實驗電路:
https://zhuoqing.blog.csdn.net/article/details/112150112
[6]面包板:
https://zhuoqing.blog.csdn.net/article/details/106269740
[7]無線節能組:
https://zhuoqing.blog.csdn.net/article/details/104120694
[8]倍壓整流:
https://baike.baidu.com/item/%E5%80%8D%E5%8E%8B%E6%95%B4%E6%B5%81/8610322?fr=aladdin
[9]火中取栗:
https://zhuoqing.blog.csdn.net/article/details/115434834
[10]經過標定后的ESP32對于節能信標組充電過程測量:
https://zhuoqing.blog.csdn.net/article/details/115437782
[11] 環形電感計算公式:
https://wenku.baidu.com/view/61d340583b3567ec102d8a9b.html
免責聲明:本文為轉載文章,轉載此文目的在于傳遞更多信息,版權歸原作者所有。本文所用視頻、圖片、文字如涉及作品版權問題,請聯系小編進行處理。
推薦閱讀:



