【導讀】本文提出了一種適用于鋰電池的電流監測電路,通過在鋰電池供電環路引入靈敏電阻對電流進行采樣,并使用時鐘控制開關電容運算放大器和高速比較器,實現從模擬信號到數字信號的轉換。在處理器中進行精確電流量的運算,能對過流、短路電流進行保護,也能用于精確計算電池阻抗、電量等相關參數。電路基于 0.18 m CMOS工藝,電源電壓為2.5 V。對所設計電路進行了仿真驗證。結果表明,該電路在- 40℃~+125℃應用環境溫度范圍內能夠實現對電流的采樣和編碼功能,并且能對充放電動作進行判斷。
鋰電池作為新型清潔、可再生的二次能源,需精確監測其電流、電壓及溫度等參數,并做好相應的保護電路。對于手持設備而言,更需要追求高精度、低功耗,從而降低對鋰電池的“過度”使用,延長使用壽命。
本文設計的電路在鋰電池供電環路中引入靈敏電阻對電流進行監測,給系統提供充放電提示,同時可用于電量計算以及保護控制。
本文將詳細闡述電流監測系統原理以及內部電路結構,并給出H-spice仿真結果及相關結論。
1 本文所設計的電流監測電路
模/數轉換器(ADC)由采樣、量化和編碼構成。本文設計的鋰電池電流監測系統框圖如圖1所示。其中,電容和AMP放大器組成開關電容采樣電路,C0MP高速比較器對數據進行量化,處理器對電路進行數字邏輯控制及編碼。偏置電路提供AMP放大器自啟動支路并產生Vbe1和Vbe4。時鐘模塊控制系統開關,包括LII、LI2、LI5、LI6、LI38。處理器輸出數字信號Logic Control改變量化電容。

圖1 鋰電池電流監測系統框圖
[page]
1.1 開關電容采樣電路
如圖2所示,通過V+和V-間的靈敏電阻進行采樣;。Vbe1和Vbe4是由BE結產生的電壓基準;C3容值用n(2的倍數)表示(C為單位電容值,C1=C2=1C,C3=C4=nC,C5=8C);時鐘控制為高時開關導通,為低時開關斷開。采樣電路的5個狀態如圖3所示。

VOUT = VB = Vbe1 (1)
(2)LI1、LI2、LI38、LI5、LI6=10001,開關切換后狀態2保持狀態1,則VOUT = Vbe1。
(3)LI1、LI2、LI38、LI5、LI=00000,開關全斷開,保持上一狀態, VOUT = Vbe1。
(4)LI1、LI2、LI38、LI5、LI6=01010,V+、 V-切換,Vbe1、Vbe4也切換。根據C1、C3電荷守恒定律得:
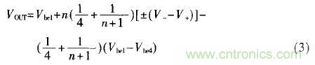
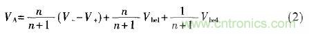
由運放特性可知VB =VA 。已知 VA、VB 可以得到VC1 = VA - Vbe4, VC2 = VB - Vbe1, VC3 = VA - V-, VC4 = VB - V+, VC5 = VB - VOUT, 依據C2、 、C5電荷守恒定律得:

其中, V- - V+的正負由互不交疊時鐘LI1、LI2控制,當LI1在狀態l為高時, V- - V+取正; 當LI1在狀態1為低時,V- - V+取負。每隔一定周期控制LI1、LI2切換,V+、V-的接法可用于實時監測電池充放電狀態。根據式(3)和圖1可知,VOUT與Vbe1通過比較器比較將產生△V 的差值,這時改變采樣并聯電容n的值可調節△V ,起到量化作用。
(5)LI1、LI2、LI38、LI5、LI6=00000,所有開關斷開, oUr保持上一狀態。
[page]
1.2 AMP放大器電路
AMP放大器電路如圖4所示,主要包括:(1)自偏置電路,由 MPI3~MPI9、QPI1和QPI4組成;(2)兩級運放,包括MPI26、MPI27組成的全差分放大器、MNI25共源放大器和MNI24、 CIl5組成的米勒補償。其中,LI12與LI17為差分輸入;LI26為復位信號;H模塊為數字上電電路;Vbe1與Vbe4為基準輸出;LI22為運算輸出端。

圖4 AMP放大器電路圖
自偏置電路有使能信號,若工作異常可直接關斷電路。當LI26為低時,MPI9關斷,MPI5和MPI6導通,電路正常工作,MPI4、MPI6和MPI8構成啟動支路,則:
VCC≥2 VMPgs +Vbe (4)
其中,VMPgs是PMOS的Vth,Vbe是二極管開啟電壓。只要VCC滿足式(4),電路就能正常啟動。但在設計中需考慮襯偏效應對閾值的影響,VCC比計算值略高。QPI1和QPI4發射極面積比為1:4,由此可得Vbe1與Vbe4差值為VTln4。當LI26為高時,MPI9導通,MPI5和MPI6關斷,電路被關斷。
AMP放大器帶有米勒補償,交流小信號等效電路圖如圖5所示。其中,gm1、gm2 分別為第一級和第二級跨導。增益表示為:

圖5 AMP放大器交流小信號等效圖
其中,Rout1、Rout2分別為第一級和第二級的輸出電阻,且Rout1是Rds_MPI27、Rds_MNI26的并聯,Rout2是Rds_MPI11、Rds_MNI25的并聯,C1為等效負載電容。為了使系統穩定,需對整個環路的零極點進行分析:

1.3 COMP高速比較器電路
如圖6所示, 電路由MN1~MN6和MP1~MP4組成。IN1與IN2為輸入端;OUT1與OUT2為輸出端;LG99由數字時鐘控制,實現復位功能。

圖6 COMP高速比較器電路
電路采用正反饋技術,速度得到大大提高。當LG99為低時,MP3、MP4導通,MN5、MN6關斷電路,OUT1、OUT2抬高,后端觸發器處于保持狀 態。而LG99為高時,MP3、MP4關斷,MN5、MN6導通。此時若IN1大于IN2,則V 減小,使OUT1減小;OUT1作用于MP2與MN2,使OUT2被抬高;而OUT2作用于MP1與MN1,使OUT1被拉低,形成正反饋。反之亦然,只 要IN1與IN2之間存在壓差都會在輸出上快速響應。
[page]
2 仿真結果與分析
本文采用0.18μm CMOS工藝,使用H-spice對數字時鐘、AMP運算放大器、偏置電路和高速比較器進行了仿真驗證。
圖 7為AMP放大器交流小信號仿真數據,其中復位信號LI26為低,在LI12上加入AC=1的交流小信號。對-40℃ 、25 ℃、125 ℃ 3種溫度進行AC掃描,可知:(1)當增益降為O時,相位裕度仍保持90?以上;(2)在不同溫度下,增益與相位裕度受影響不大,系統處于穩定態。

圖7 不同溫度下放大器增益與相位裕度曲線
圖 8為COMP高速比較器靜態工作點仿真數據,其中LG99為復位信號,IN1為1.200 V,對IN2在1.200 V~1.210 V范圍進行瞬態掃描。若IN1=IN2,則輸出應高于數字觸發電平,以保證時序的正確性。仿真后可知:(1)電路存在失調電壓,IN2增加時,有少量輸出 與數字邏輯不符;(2)輸入相等時,輸出靜態工作點為1.5 V,能保證后端觸發器保持;(3)輸入差值不大于5 mV就能很快將輸出置高或置低。

圖8 高速比較器靜態工作點仿真曲線
圖 9為采樣電路整仿數據,SRP、SRN為鋰電池電流采樣端,典型差值范圍為-125 mV~125 mV;LI22是運放輸出。輸入差值從125mV變化到5mV再跳變到-125mV,采樣端電壓變化所對應的輸出會依據信號的大小進行量化,且通過輸出的 高低來判斷工作在充電還是放電狀態。但切換開關瞬間可能產生時鐘饋通效應,該電路增大了運放輸入端的寄生電容,有效減小了頻繁切換開關對輸出的影響。

圖9 采樣電路整仿曲線
采樣電路整體仿真并不完整,當SRP與SRN的差值實時變化時,采樣電路跟隨變化的能力如圖10所示。固定SRN 的電壓為0V,在SRP上加入正弦波信號進行掃描,從圖中可知放大器輸出會跟隨SRP的變化而變化,采樣的分辨率能夠達到要求。
本 文設計了一種適用于鋰電池的電流監測電路,能精確監測電流及充放電狀態。這些信息可用于控制保護電路的啟動,且能用于精確計算電池阻抗、電量等參數。電路 添加了使能控制,當工作異常時可關斷電路。并且通過偏置的設置可調節MPI3、MPI4、MPI7、MPI8管(如圖4所示)的寬長比,從而獲得更低功 耗,提高電池使用壽命。

圖10 采樣電路跟隨功能仿真曲線





