【導讀】本文簡要介紹了精密系統中的參考到輸入(RTI)的計算和仿真,以及如何從中獲得盡可能多的重要信息。在設計用于模擬測量的信號鏈時,必須考量信號鏈中不同組件導致的誤差和噪聲,用于確定最高性能。規格可以用百分比(分數)表示,或者如果是線性系統,可以參考到輸出或參考參考到輸入。參考到輸入的計算往往會造成誤解,但能夠提供有關系統性能的重要信息。
本文簡要介紹了精密系統中的參考到輸入(RTI)的計算和仿真,以及如何從中獲得盡可能多的重要信息。在設計用于模擬測量的信號鏈時,必須考量信號鏈中不同組件導致的誤差和噪聲,用于確定最高性能。規格可以用百分比(分數)表示,或者如果是線性系統,可以參考到輸出或參考參考到輸入。參考到輸入的計算往往會造成誤解,但能夠提供有關系統性能的重要信息。
噪聲、誤差和參考到輸入(RTI)
圖1顯示了測量的通用系統框圖。每個模塊可能有多個元件或多級來執行測量功能。從傳感器到ADC的每個模擬級也會產生不需要的模擬噪聲和誤差,進而影響測量的結果。ADC輸出端的數據代表信號與總噪聲和誤差的組合。有些噪聲和誤差可以通過校準、補償和信號處理技術來降低。其余噪聲和誤差導致被測量的真實值的不確定性。對于測量儀器,不確定性分析有助于設定關鍵的系統規格,如準確度和精度。
將信號鏈噪聲和誤差參考到輸入后,便可與輸入信號直接比較。這樣就能根據已知信號特性和要求,深入了解整體測量性能。例如,計算參考到輸入(RTI)的總噪聲可揭示能從噪聲中辨別出的最小輸入信號。考慮參考到輸入計算的另一種方式是,ADC測量的數據通常在軟件中進行縮放,以表示被測物理量的值。縮放前的原始數據包含誤差和噪聲;因此,縮放后會具有相同的相對誤差和噪聲量(但經過縮放),好像所有誤差和噪聲都與信號一起出現在輸入端一樣。
合并噪聲源RTI和RTO
對于總噪聲計算,噪聲源在合并之前需要以相同的位置為基準。雖然噪聲可以信號鏈中的其他位置為基準,但計算噪聲RTI和RTO(參考到輸出)對于確定系統性能最有用。設計人員可以選擇電路中的哪個點來調用輸入和輸出,以及使用什么單位。例如,輸入可以是溫度之類的物理量,以°C為單位,RTI噪聲可以°C來計算。或者,噪聲可以參考到信號鏈輸入端,以伏特(V)或安培(A)等電氣單位為單位。同樣,輸出可以定義為來自ADC的數據,以最低有效位或等效電壓為單位,或者定義為ADC輸入端的電壓。
RTI噪聲源是放置在輸入端的虛擬噪聲源,在測量中產生與實際噪聲源一樣的噪聲。每個RTI噪聲源的值通過將實際噪聲源除以從輸入到該點的增益來確定。RTI噪聲源的噪聲功率譜密度相加,就是整個系統的噪聲譜。同樣,RTO噪聲源是輸出端的虛擬噪聲源。對于RTO噪聲,每個噪聲源乘以到輸出的增益,然后在該點進行合并。如果在所定義的輸出之后沒有噪聲源,則RTO噪聲與在該輸出處測量的噪聲一致。
圖2顯示了由同相增益級和低通濾波器組成的簡單信號鏈的RTI和RTO噪聲模型。
兩者之間存在不平衡,因為信號從輸入流向輸出。RTO噪聲表示的是在整個信號鏈中傳播后的噪聲,與測量中的總噪聲相匹配,但RTI噪聲表示的是前幾級的噪聲,這些噪聲尚未受到信號鏈后面幾級的頻帶限制。被信號鏈濾除的帶外噪聲不會影響最終的測量值,但會出現在RTI噪聲譜中。這在技術上不是問題,它并不意味著RTI噪聲是錯誤的。RTI噪聲乘以信號鏈的增益與頻率關系曲線即可得到RTO噪聲,不會丟失任何信息;然而,計算噪聲RTI的目的是將噪聲與輸入信號進行比較。由于包含不影響測量的帶外噪聲,RTI的這種傳統定義使得總積分噪聲與輸入信號的比較不太容易。
另一種定義——提供更多有用信息
輸出信號可以與RTO噪聲直接比較,因為它考慮了整個信號鏈,所以問題是:能否以某種方式定義RTI噪聲,使它能很容易地與輸入信號進行比較?答案反映了測量數據的實際使用情況:對RTO噪聲應用與軟件中對輸出數據所應用的相同的縮放比例,以將其表示為輸入信號。兩者應該在輸入端以相同方式計算,換言之就是輸出噪聲除以信號增益。
下一個問題是如何定義信號增益。無論直流耦合還是交流耦合,在大多數常規線性電路中,施加于信號的增益在設計的某個目標帶寬上是平坦的。我們稱此目標帶寬為信號頻帶。信號在信號頻帶中具有有價值的信息,需要加以捕獲。電路的-3 dB帶寬設計得比信號頻帶要寬,以避免頻帶邊緣的信號出現動態誤差,但除了這一限制之外,通常還會盡可能限制帶寬以降低噪聲。
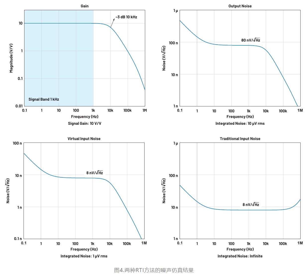
如果將信號增益定義為信號頻帶內的增益,并且使用該常數值將RTO噪聲轉換為RTI,那么RTI噪聲將變得更有意義。這兩種模型的差異如圖3所示。在替代模型中,RTI噪聲顯示了影響信號測量的噪聲,包括帶外噪聲的滾降。圖4顯示了兩種RTI方法的仿真差異。
輸入噪聲曲線在低頻時相同,但在增益滾降時出現分歧。傳統的RTI噪聲不能積分得到總噪聲,而虛擬RTI噪聲可以積分。對于積分噪聲和噪聲譜密度值,虛擬RTI噪聲和RTO噪聲的相互轉換均可利用信號增益。
如果信號增益在信號頻帶內不平坦,請考慮調整信號頻帶或修改電路,使其具有更寬的帶寬。這有助于避免信號頻帶邊緣的信號性能下降。如果不可能,使用信號頻帶內的標稱增益極有可能與一般情況和軟件轉換因子相匹配,但務必要評估信號頻帶邊緣的誤差和信噪比,以確保它們在性能目標范圍內。
LTspice中的RTI計算
LTspice的多功能性和準確性使其對噪聲仿真非常有用。輸出節點和輸入源在噪聲仿真命令中指定,輸出噪聲(RTO)是查看分析結果的默認方式。LTspice還會根據RTI的傳統定義計算參考到指定輸入源的輸入噪聲,但如圖4所示,對傳統RTI噪聲進行積分無法提供有意義的結果。圖5顯示了如何在LTspice的輸出中添加一級,以便仿真器返回替代的虛擬RTI噪聲。運行仿真后,在選定圖形的情況下,從Plot Settings—Add Trace將輸入噪聲添加到圖形中,然后選擇V(inoise)。這會將輸入噪聲添加到圖形中。曲線形狀與輸出噪聲相匹配,表明整個電路的頻率響應都得到了考慮。在按住ctrl鍵的同時左鍵單擊圖形中標題為"V(inoise)"的曲線,以對總RTI噪聲進行積分。
用于信號鏈噪聲分析的Web工具
信號鏈噪聲工具 是ADI Precision Studio web工具套件的一部分,用于執行信號鏈級的噪聲計算,包括總噪聲的積分和虛擬RTI噪聲計算。從傳感器開始構建信號鏈,或從示例開始,然后利用信號鏈噪聲工具確定從傳感器到ADC的整個信號鏈的總噪聲和交流性能。信號鏈噪聲工具中的仿真模型使用數據手冊中的完整測量噪聲曲線來提供實驗室精度的結果。此類工具的主要優點之一是能夠加快設計過程。該工具可即時仿真電路變化對整體噪聲性能的影響,從而加快設計迭代速度。完成后的信號鏈可導出到LTspice進行定制仿真。
結論
參考到輸入計算是了解測量系統預期性能的寶貴工具,有助于優化設計和掌握系統規格。本文基于測量系統架構提出的虛擬RTI噪聲方法與一些傳統方法相比,可以獲得更多的有用信息,是一種有益的改進。LTspice和信號鏈噪聲工具等仿真工具可幫助執行此分析。
免責聲明:本文為轉載文章,轉載此文目的在于傳遞更多信息,版權歸原作者所有。本文所用視頻、圖片、文字如涉及作品版權問題,請聯系小編進行處理。
推薦閱讀:
貿澤電子與NXP聯合推出全新電子書,提供有關電動汽車電機控制的專業觀點
為什么碳化硅Cascode JFET 可以輕松實現硅到碳化硅的過渡?
技術洞察:12V 和 48V 系統的通用驅動平臺簡化電動汽車啟動發電機設計






