【導讀】功率半導體在實際系統應用中會碰到各種問題,有些問題需要設計經驗積累總結,有些經典問題已經寫入了教科書,有些問題還是學術研究范疇,歡迎讀者將工作和學習中的體會寫出來分享。
局部放電現象和危害
局部放電是僅發生在絕緣體中的一部分區域的放電。這些放電也可能發生在電極上,但也可能是“無電極”發生在電場空間。局部放電會發生在:氣體,液體和固體中。在發生局部放電時,不但會產生損耗,其產生的高能電子和UV輻射會對周圍的絕緣材料造成損壞。
不同的絕緣介質,局部放電會產生老化損害是不一樣的:
■ 沒有損害:流動的空氣,天然物質例如玻璃云母;
■ 輕微損害:密閉氣體絕緣例如SF6,空氣;
■ 中度損害:油紙絕緣(變壓器,DF)鑄造樹脂;
■ 嚴重損害:PE,VPE,幾乎所有塑料。
在局部放電對絕緣體造成輕微至嚴重損害的情況下,對它的測量變得尤為重要。
局部放電機理
■ 局部場強增加到絕緣介質的電氣強度以上;
■局部較低的電氣強度(例如,澆鑄樹脂中的空隙)。

電暈放電
電暈放電是由氣體和液體中局部過強的電場強度引起的放電。它們主要發生在尖端,邊緣和細導體上。由于它們通常出現在外輪廓上,因此由于其典型的輝光和裂紋而易于檢測。
沿面放電
它產生的起因是電極上發生電暈放電。
分層材料中的放電
它是沿面放電的另一種形式。在各個材料邊界層會產生局部過高的電壓,從而導致局部放電。
氣隙放電
氣隙放電是由絕緣材料中的氣泡或具有不同介電常數的污染物質所引起。
樹狀通道
固體或液體絕緣材料持續局部放電會形成樹狀導電通道對絕緣體造成永久性損害。
氣隙放電
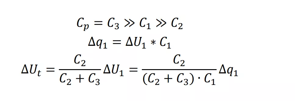
其中氣隙放電是由絕緣材料中的故障引起的,例如由變壓器油里的氣泡或具有不同介電常數的污染物質。整個待測絕緣體的電容由氣泡空腔電容C1與剩余絕緣距離C2的電容串聯并且和無故障絕緣體C3的電容并聯構成。其中由于面積不同,C3遠大于C1,由于介電常數不同,C1遠大于C2。在發生局部放電時空腔內的電壓降ΔU1是千伏等級,由于C2很小,在絕緣體兩端的電壓降ΔUt只有毫伏等級,所以很難測量。在實際測量過程中我們使用耦合電容的方式來精確測量。
局部放電測量可以在不損壞樣品的情況下測量絕緣質量。


如下圖所示,考慮正弦的端電壓U。一旦電壓U1超過氣泡空腔內的電場放電所需電壓閾值Uz時,C1通過電火花放電降到Ul電壓。C2的位移電流可能還會把C1重新充電,因此在電壓的半個周期內根據電壓的高低不同可能會產生多次局部放電。

測試方法
理想情況下我們假設耦合的電容遠大于被測絕緣體的電容,被測絕緣體發生局部放電時在其兩端的端子發生相對于電源非常小的電壓降,其立刻會被耦合電容補償。因此在耦合電容和待測絕緣體電容之間會流經高頻電流,通過對流經耦合電容的電流進行積分,得到流入絕緣體的電荷量:視在放電量。通過C1,C2折算得到絕緣體內通過局放消耗掉的電量q1,可以注意到C2比C1小,因此視在放電量對比q1很小。
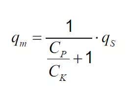
對于Ck>>Ct有:

當C1>>C2有:

局部放電測量的接線圖如下圖所示,測試電流為工頻交流電。Ct(Cp)為待測物體等效的電容,Cp為耦合電容。

在實際應用測試時,耦合電容不會無窮大,通常它約等于測試絕緣體的電容,它只會補償一部分發生在被測端的電壓降。在這種情況下測量到的電荷會比視在電荷量小,因此我們必須在實驗開始前對儀器進行校準,確定測量的電荷qm和視在電荷qs的比值。

電流積分
為了將解耦的電流脈沖轉換為電荷值,需要對其進行積分。這可以通過兩種不同的方式完成:時域積分和頻域積分
頻域積分
一般要對電流進行積分我們可以使用一個RC低通濾波器,然而它不能避開50Hz交流電流帶來的干擾,所以我們會用一個帶通濾波器對電流頻譜密度相對平坦的區域進行積分。寬帶局放測量設備通常在10至100kHz的頻帶內進行測量。一些窄帶寬濾波器用于頻域中的積分。有些局放測量設備可以調節為窄帶寬很小的帶通濾波器(IEC60270標準中推薦中心頻率50kHz≤fm≤1MHz,帶寬9kHz≤Δf≤1MHz),以便可以將檢測范圍設置為任何頻率范圍,來避開特定干擾頻率。

局放電流脈沖在時域和頻域
但窄帶寬測量的缺點是脈沖消隱時間長。如果兩個局放脈沖緊緊跟隨在一起,則只有在記錄前一個脈沖振蕩完之后,才能正確第二個脈沖。如果在帶通仍在振蕩時第二個脈沖到達,則兩個不同相位脈沖響應將疊加在輸出上,這可能導致隨后的峰值產生測量誤差。由于帶通濾波器的衰減時間與帶寬大致成反比,因此在窄帶測量會在電流信號上升很快的情況下產生誤差。這種窄帶寬測量的另一大確定是無法分別局放脈沖的正負極。如下圖:

左圖,右圖分別是窄帶寬測量和寬帶寬測量的脈沖響應
時域積分
過對時域內的電流脈沖進行積分相當于使用寬帶寬測量。根據IEC 60270:2001,使用100-400kHz之間的帶寬進行測量。現代的局放測量設備可在高達MHz的帶寬范圍內工作。但是如果測試環境不進行電磁屏蔽,可能會有無線電干擾耦合到測量信號中造成誤差。寬帶測量可以從局放脈沖中獲取有關絕緣材料各個部位老化更詳細的信息。與窄帶測量設備相比,在時域積分的局放電荷測量設備對頻譜沒有任何特殊要求。由于帶寬大,這些設備有非常好的脈沖分辨率。
耦合方式
參照IEC 60270通過耦合電容測試局部放電的方法可以有直接測量法,間接測量法和差分測量法,分別對應下圖:
間接測量法和差分測量法



可以發現間接測量時耦合裝置和耦合電容串聯,在樣品損壞時耦合裝置不會被破壞,然而它的靈敏度相較于直接測量(耦合裝置和待測絕緣體串聯)較低。但當測試樣品擊穿時,使用直接測量更可能會損壞耦合裝置。
實際測量
我們的實驗中采用間接測量方式,采用頻域積分。在測量前對不同中心頻率和帶寬進行調試使得基本噪聲水平維持較低水平。每次更換待測樣品需要重新校準測量的電荷qm和視在電荷qs的比值。待測樣品被污染的絕緣油的平板電容器,其主要表現為由于雜質或氣泡引起的氣隙局部放電。
有缺陷的平板電容器局放
基本噪聲水平:QIEC=4.3pC
局放起始時電壓有效值:UTEE=8.8kV
下圖中綠線為測試電壓波形。當電壓有效值達到8.8kV時,待測樣品在電壓負半周開始出現局部放電。當電壓有效值達到10kV時,待測樣品在電壓負半周出現局部放電的次數增多。

局放在10kV

IGBT模塊的局放
IGBT模塊的結構如圖所示,是絕緣型器件,電壓等級從600V到6500V不等,3300V以上的電壓等級,需要考核局部放電。
在IGBT模塊結構中,芯片焊在覆銅的陶瓷襯底DCB上,陶瓷襯底DCB焊在基板上。在模塊腔體內有硅膠填充。
由此可見,IGBT模塊中有三個介電系統:
1.絕緣用陶瓷襯底,常見的為Al2O3和AIN
2.填充用硅膠,其作用是防止模塊內部局部放電和擊穿
3.陶瓷襯底和硅膠的界面

在模塊中,局部放電現象主要出現在絕緣材料中的氣泡或具有不同介電常數的污染物質,高壓模塊需要采用局部放電測量來衡量可靠性和壽命。
模塊中尖——板結構
在IGBT模塊中,由于DCB的覆銅層的邊緣處場強較高,其內部的局部放電處于陶瓷基板和銅基板的交接邊緣處。在模塊中會填充硅膠作為絕緣介質,其介電強度高達15X106V/mm,可以降低局放的影響,而且它使得模塊在沒有局放時具有一定的自愈能力,但無法恢復由于持續局放產生的永久損害。

通常可以通過改善DCB的銅層邊緣來控制場強或優化絕緣介質,抬高局放起始電壓最終達到降低局部放電進而提高模塊可靠性和壽命的目的。
模塊中氣隙放電
DCB板中的絕緣材料Al2O3和AIN都會存在氣泡或具有不同介電常數的污染物質,其是造成局放的原因。

局放是高壓功率模塊的重要指標,會在數據手冊上標明,指標是這樣給出的:
英飛凌FZ600R65KE3,600A 6500V IGBT局部放電停止電壓,VISOL=5.1kV RMS,50Hz此時QPD典型值為10pC。意思是當檢測到通過局放的電荷量小于10pC時可以認為局部放電停止,根據經驗低于10pC的局部放電不會對絕緣系統造成有害影響,此時的電壓有效值為5.1kV。局放停止電壓必須高于工作電壓,這確保了器件達到工作電壓時由于電壓尖峰引起的局放可以再次熄滅。
參考文獻
[1] Adolf J. Schwab, Hochspannungsmesstechnik – Messgeräte und Messverfahren,
2. Auflage, Springer Verlag 1981
[2] Energietechnische Praktikum ETI / IEH, Versuch Nr. 4 Diagnostik elektrischer Betriebsmittel Karlsruher Institut für Technologie 2021
[3] DIN EN 60270, Hochspannungs-Prüftechnik – Teilentladungsmessungen
März 2001
[4] 王昭,劉曜寧,高壓IGBT模塊局部放電研究現狀,電子元件與材料10.2017
來源:英飛凌工業半導體,作者:陳嘉騰 德國卡爾斯魯厄理工學院 碩士生
免責聲明:本文為轉載文章,轉載此文目的在于傳遞更多信息,版權歸原作者所有。本文所用視頻、圖片、文字如涉及作品版權問題,請聯系小編進行處理。
推薦閱讀:



