【導讀】衛星通信系統是現代軍事領域非常重要的通信方式。直升機衛星通信指的是直升機通過機載衛星實現衛星間的直接通信,并且能夠在衛星和地面之間進行信息傳輸和交換。本文詳細分析了直升機衛星通信系統的關鍵技術,并結合工程應用對整個系統進行全面的了解。
信息交換的種類有話音、數據和圖像視頻等。由于直升機本身的旋翼特點及操控特性,在設計衛星通信系統時對微波天線的尺寸和重量都有嚴格的限制和要求,天線口徑、安裝位置和功放等硬性條件確定之后,在測試通信質量時,如果通信效果不好,試驗工程師應該從哪些方面進行分析,查找問題的根源。本文從直升機衛星通信系統的關鍵技術入手,結合工程應用把問題一一展開。通過對系統全面的了解,對關鍵技術的確認,從而實現對系統的準確測試。
1 機載衛星通信系統工作原理
1.1 機載衛星通信系統
衛星通信( 簡稱衛通) 具有頻帶寬、容量大、性能穩定、成本與通信距離無關等優點,成為現代通信的一種重要方式。機載衛星通信系統分為固定翼機載衛星通信系統和旋翼衛星通信系統。
一個基本的衛星通信系統至少包含兩個衛通站和必要的衛星資源。對于直升機衛星通信系統,只是在信道處理時增加抗旋翼遮擋模塊。
衛星通信的工作頻段很多, 有UHF、S、C、Ku 和Ka等頻段。目前,國內的主流衛通頻段還是Ku 頻段,Ku 頻段常用的發射頻率范圍是14.0~14.5 GHz;接收頻率范圍是12.25~12.75 GHz,帶寬均為500 MHz,也是目前機載設備普遍選用的頻段。
1.2 系統工作原理
衛星通信系統工作原理如圖1 所示。發送端輸入的信息經過處理和編碼后,進入調制器對載波(中頻)進行調制;已調的中頻信號經過上變頻器將頻率搬移至所需求的上行射頻頻率,最后經過高功率放大器放大后,饋送到發送天線發往衛星。衛星轉發器對所接受的上行信號提供足夠的增益,還將上行頻率變換為下行頻率,之后衛星發射天線將信號經下行鏈路送至接受地球站。
地球站將接受的微弱信號送入低噪聲模塊和下變頻器。低噪聲模塊前端是具有低噪聲溫度的放大器,保證接收信號的質量。下變頻、解調器和解碼與發送端的編碼、調制和上變頻相對應。

圖1 衛星通信系統基本工作原理
2 關鍵技術
2.1 姿態角提取及坐標變換
在機載衛星通信地球站工作過程中,天線伺服控制分系統的作用是使天線的波束中心自動、快速、準確地對準衛星,從而使通信系統保持正常工作。伺服控制分系統要完成這一任務,必須知道天線波束中心和所要對準衛星的方位角、仰角和極化角。
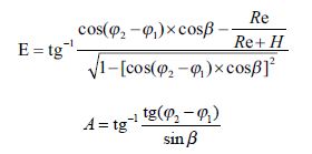
目前,國內典型機載衛星通信系統天伺系統是采用數字引導和自跟蹤功能相結合的機制,即通過捷聯慣導(IMU)提供的載機姿態信息解算天線指向的引導方式和通過天線饋源網絡和接收機提供的角差信號控制天線指向目標的自跟蹤方式。首先,根據載機定位信息和預選設定的衛星信息,運用以下公式可以計算出大地仰角(E)及方位角(A)。

式中:φ1 為接收站經度(度);φ2 為衛星的軌位經度(度);β 為接收站緯度(度)。
Re/(Re+H)=0.15,Re 為地球半徑(6 378 km),H 為同步衛星距地球表面的高度(35 786 km)
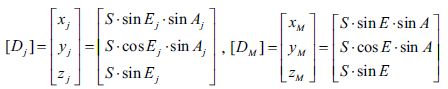
由于繞定點轉動的兩個坐標系之間的關系可以用方向余弦矩陣來表示,且載體坐標系與地理坐標系之間存在著姿態變化,所以,對天線穩定系統來說,可以根據慣導提供的姿態信息(橫滾R、俯仰P 和航向H),實現從地理坐標系到載機坐標系的角度變換。具體變換如下:
式中[Dj] 為目標在載體坐標系中的坐標矢量,[DM] 為目標在大地坐標系中的坐標矢量,S 為矢量半徑。

MR、MP、MH 分別為3 個姿態變換矩陣。

信號丟失正常情況下不外乎兩種原因:一由于劇烈的外部作用天線伺服未能快速的克服隨動,導致天線指向偏離衛星。二由于載機所處的環境陰影遮擋,如高樓、天橋、樹木、山脈等,此處系統的處理方法是,當信號丟失后,默認為由于陰影遮擋,先保持當前的天線姿態一定的時間( 保持時間),在此過程中不斷進行信號的采集和比較,如果在到達保持時間之前信號大于門限,則恢復跟蹤狀態,如果保持時間達到后,信號仍然小于門限,則進入搜索狀態。這種信號丟失的處理方式有利于鏈路的快速建立,特別是在載機快速的運動過程中,偶爾出現遮擋物時( 樹木,高樓等) 的現實環境中。
此外,由于直升機的旋翼特點,在使用中除了要面臨極化控制、電波穩定和可靠跟蹤等問題以外,最大的問題就是解決旋翼遮擋。目前,采用多次重傳機制的傳輸設計可以解決旋翼遮擋對接收的影響,重傳的次數越多,信息的可靠性就越高,但是會降低鏈路的傳輸效率。相比較而言,二次重傳機制可以滿足需要,而且信道利用率更高。從而使該系統實現以下功能:
1) 載機在航向和姿態不斷變化的情況下能夠正常工作。這就要求伺服系統具有非常寬的跟蹤范圍;
2) 系統對載機的搖擺有適應能力,要求伺服系統對載機振動的隔離度要足夠大,以保 證天線主瓣指向衛星;
3) 遮擋消失后伺服系統再捕能力。即設備穿過信號中斷地帶后,伺服系統能快速控制天線,立即恢復通信。
2.3 鏈路估算
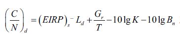
在機載衛星通信系統中,衛星轉發器接收系統的品質因數(G/T)、飽和通量密度(SFD)、等效全向輻射功率(EIRP)以及轉發器的輸入/ 輸出補償在鏈路計算和通信系統設計中起著關鍵性的作用,衛星通信工程師應對其有深入的了解。
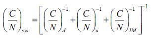
地球站用戶(包括機載站)在使用衛星資源時需要根據衛星轉發器參數進行鏈路預算及分析,預估上下行載波的C/N,計算求得系統能噪比Eb/N0,以便確定系統能夠保證信息傳輸質量和滿足設計指標的要求。具體計算公式如下:
衛星鏈路總的載噪比:

上行鏈路的載噪比估算公式為:

下行鏈路的載噪比估算公式為:

故鏈路的能噪比估算公式為:

[page]
3 工程測試方案設計
衛星通信系統的設計通常要求高概率可靠度( 例如99.99%),這就要求各種衰減引起系統的中斷概率不超過0.01%,為了驗證系統的這種性能,對測試方法的設計以及處理方法具有較高的要求。某機載衛星通信系統在進行工程測試驗證時,基于關鍵技術的考慮重點設計以下測試項目,以達到對系統考核驗證的目的。
1) 大機動及大速度飛行。在機載衛星通信系統中,天線跟蹤是關鍵技術,當載機在高速運動、爬升/ 下降和轉彎條件下,天線伺服控制系統使天線波束始終精確對準衛星,因此,通過大機動飛行達到對系統伺服系統的跟蹤性以及穩定性的測試目的。
2) 高緯度地區及降雨環境飛行。地面天線的仰角極低時,地面熱噪聲將進入天線的近旁瓣甚至主瓣,從而提高天線噪聲 ,降低地面系統的G/T 值,天線仰角低,從地球站到衛星的傳輸距離長,載波的自由空間損耗也較大。仰角低時,載波穿越降雨區的距離也較長,Ku 頻段載波在降雨時所受的衰耗和噪聲增量將相應增大。這些因素都可能抵消掉部分的轉發器EIRP。因此,通過高緯度地區的飛行測試以及降雨環境下的系統測試實現對系統低仰角及降雨損耗的考核驗證目的。
3) 信號較弱地區飛行。同一衛星資源在不同區域的等效全向輻射功率和品質因素是有差異的,這將直接影響鏈路的能噪比,即鏈路質量。
以某機載衛星通信系統為例,分別在南京地區和高原地區進行測試評估,中心站置于北京,衛星資源參數(軌道位置東經87.5°,轉發器帶寬BTs=36 MHz,轉發器輸入補償10 dB 和輸出補償為4 dB)。試驗結果表明,南京地區的鏈路通信質量明顯優于高原地區,且高原地區的圖像傳輸存在較嚴重的丟包現象。具體分析如表1 所示。

表1 不同地區衛星轉發器參數與鏈路質量對比分析
從表1 可以看出,衛星轉發器在南京地區的等效全向輻射功率和品質因素優于高原地區,通過鏈路計算得出的能噪比南京地區優于高原地區。雖然系統設計時,調制解調器在能噪比為5.0 dB 時能夠保證信息傳輸質量,但是,考慮雨衰裕量等因素,在信號較弱地區仍然需要調整設備發射功率或天線尺寸,方能滿足較好的通信質量,這與工程實際應用完全吻合。
4 結論
在機載衛星通信系統的工程測試過程中,對直升機衛星通信系統的關鍵技術進行了較為深入的研究,找出了測試設計過程中的關鍵技術點,通過設計測試方案驗證了某型機載衛星通信系統的通信質量,并與理論計算進行了對比分析,達到了理論與實踐相結合的試驗目的。由于國內機載衛星通信應用尚處于初步階段,對于系統的測試更是出于摸索階段,對衛星通信系統關鍵技術的研究可以為后續型號系統的測試與性能評估提供相應的技術參考和借鑒。
相關閱讀:
“軍事”解析:飛機數據總線的構成及特性分析
熟透語音識別技術,軍事斗爭領域你就是"王"
國防最前沿:電磁環境自動測試,衛星地球站接招吧!


