【導讀】EMC主要是通過測試產品在電磁方面的干擾大小和抗干擾能力的綜合評定,是產品在質量安全認證重要的指標之一。很多產品在做產品安全認證時都會遇到產品測試不合格的情況,尤其是在電磁兼容測試(即EMC測試)出錯頻率更是普遍。當產品一旦測試不合格,那么隨之而來的肯定是EMC整改通知書。在EMC整改過程中很多管理人和技術人員并不太明白該從何處入手,今天我們就來分析EMC整改常遇到的問題和一些整改建議。
首先我們來從EMC測試項目構成說起,EMC主要包含兩大項:EMI(干擾)和EMS(產品抗干擾和敏感度)。當然這兩大項中又包括許多小項目,EMI主要測試項:RE(產品輻射,發射)、CE(產品傳導干擾)、Harmonic(諧波)、Ficker(閃爍)。EMS主要測試項:ESD(產品靜電)、EFT(瞬態脈沖干擾)、DIP(電壓跌落)、CS(傳導抗干擾)、RS(輻射抗干擾)、Surge(雷擊)、PMS(磁場抗擾)。通過這些測試項目我們不難看出EMC測試主要圍繞產品的電磁干擾和敏感度兩部分,如果一旦產品不符合安全認證標準需要EMC整改的時候我們可以通過降低其材料和零部件進行整改。
一、EMC整改意見:
1、在拿到整改意見書以后,需要提前定位好EMC整改計劃。沒有定位好計劃就去盲目的整改產品就像無頭的蒼蠅一樣到處亂動,這樣只會增加整改的成本。
2、定位手段,對于這里小編覺得主要可以分為兩點。第一:直覺判斷,需要完全依托工程師的直覺和經驗來進行判斷。第二:比較測試,根據測試儀器所提供的數據來進行分析問題。
二、EMC整改流程:
1、RE超標整改流程:

2、電線電纜超標整改流程:

3、信號電纜整改流程:

4、屏蔽體泄漏整改流程:

三、EMC整改的一些小建議
1、電容的濾波作用


即頻率f越大,電容的阻抗Z越小。
當低頻時,電容C由于阻抗Z比較大,有用信號可以順利通過;
當高頻時,電容C由于阻抗Z已經很小了,相當于把高頻噪聲短路到GND上去了。
2、電容濾波在何時會失效
整改中常常會使用電容這種元器件進行濾波,往往有“大電容濾低頻,小電容濾高頻”的說法。
以常見的表貼式MLCC陶瓷電容為例,進行等效模型如下:

容值10nF,封裝0603的X7R陶瓷的模型參數如下:

由于等效模型中既有電容C,也有電感L,組成了二階系統,就存在不穩定性。對電路回路來說,就是會發生諧振,諧振點在如下頻率處:

下圖是諧振曲線的示例:

即常說的在諧振點前是電容,諧振點之后就不再是電容了。
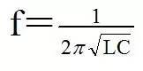
3、LC濾波何時使用
如果串聯電感L,再并聯組成C,就形成了LC濾波:

單獨一個電容C是一階系統,單獨一個電感L也是一階系統,在幅值衰減斜率是-20dB。但LC組成的二階系統,幅值衰減斜率是-40dB,更靠近理想的“立陡”的截止頻率的效果,即濾波效果更好。

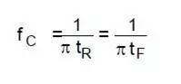
4、PWM頻率到底是多少
往往提到PWM,比如會說用20kHz PWM驅動電機等。但實際上,這個20kHz僅代表PWM的脈沖周期是50us:

那么所謂的20kHz PWM在頻域上的頻率點落在哪里呢,如下公式:

對于階躍信號來說,由于上升時間tr無窮小,則頻率f無窮大。當頻率高了之后,寄生參數則不能在忽略,會引發很多諧振的問題。
從信號上來看,就是很陡峭的階躍信號會有過沖和振蕩的問題。簡單來說就是頻率f越大,則噪聲所占的頻率就會越寬泛,即EMC特性就會越差。
5、如何將原理圖和PCB對應起來
由于細分工種的問題,原理圖和PCB被割裂開來,由兩組人進行分工作業:

例如在原理圖上有如下的電路:

其隱含一個問題就是在PCB上其實V1的負極和C1的負極是有一條線(PCB layout工具軟件中用的詞比較準確,Trace,蹤跡/軌跡)。
往往在設計階段A->B->C是都會關注的。如果EMC出現問題,除了要在原理圖上查找電路參數的問題,還需要特別關注C->D,即回流路徑。

如果回流路徑不順暢,會造成信號的畸變:

比如在EMC試驗時,MCU的ADC采集到的信號被干擾到了,則除了在原理圖上分析外,在PCB上講該信號高亮出來,然后再耐心尋找該信號的回流路徑是否有不順暢的地方:

對著信號線頭腦中想象回流路徑,有點意識流的感覺。
6、總結

推薦閱讀:


