【導讀】有了熱阻熱容的概念,自然就會想到在導熱材料串并聯時,就可以用阻容網絡來描述。一個帶銅基板的模塊有7層材料構成,各層都有一定的熱阻和熱容,哪怕是散熱器,其本身也有熱阻和熱容。整個散熱通路還包括導熱脂、散熱器和環境。不同時間尺度下的各層溫度如下圖,溫度的紋波是由熱容決定的。
前言
功率半導體熱設計是實現IGBT、SiC MOSFET高功率密度的基礎,只有掌握功率半導體的熱設計基礎知識,才能完成精確熱設計,提高功率器件的利用率,降低系統成本,并保證系統的可靠性。
功率器件熱設計基礎系列文章會比較系統地講解熱設計基礎知識,相關標準和工程測量方法。
有了熱阻熱容的概念,自然就會想到在導熱材料串并聯時,就可以用阻容網絡來描述。一個帶銅基板的模塊有7層材料構成,各層都有一定的熱阻和熱容,哪怕是散熱器,其本身也有熱阻和熱容。整個散熱通路還包括導熱脂、散熱器和環境。不同時間尺度下的各層溫度如下圖,溫度的紋波是由熱容決定的。
熱等效電路模型
半導體元件的熱性能可使用各種等效電路模型來描述:
連續網絡模型(Cauer模型):
根據IGBT模塊的實際物理層和材料直接建立模型,如圖二所示。這個模型需要精確的材料參數,特別是相關層的橫向傳熱參數。所需RC組合的數目取決于預期模型的分辨率。
該模型是基于已知各層材料特性的情況下建立的,反映了基于熱容和熱阻的真實物理量。各個RC單元可基于模塊的各個層(芯片、芯片焊料、基板、基板焊料和底板)。因此,網絡節點是有對應的溫度。
局部網絡模型(Foster模型):
和實際的物理層和材料沒有關系,通過測量熱阻和阻抗獲得,如圖三所示。使用局部網絡模型沒有必要知道確切的材料參數。RC組合的數目取決于測量點的數量,通常在3~6之間。
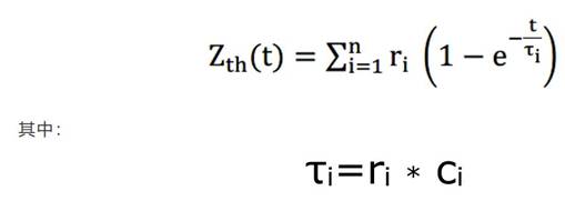
與連續網絡模型相比,局部網絡模型的各個RC元件不再與各層材料一一對應。網絡節點沒有任何物理意義。數據手冊中的瞬態熱阻曲線就是采用Foster 模型,從上一篇《功率器件熱設計基礎(六)----瞬態熱測量》中提到的測量冷卻曲線中提取參數。
部分分項模型的熱阻抗可以表示為:
如圖四所示,IGBT的模塊數據表Zth(j-c)曲線可以用Foster模型描述,相應的系數電阻(r)和時間常數(τ)用測試得到的曲線擬合。
一個功率器件的損耗PL(t),管殼溫度Tc(t),結溫Tj(t),它們之間的關系可確定如下:
在實際系統中,由于負載持續時間與散熱器的時間常數相比并不會短得可以忽略不計,因此并不能總是簡單的假設外殼和散熱器溫度是恒定的。要考慮瞬態運行工況,應測量Tc(t),或將IGBT模型與散熱器模型關聯。
考慮導熱脂層
在這兩個模型中,使用Rth而不是通常未知的Zth來描述導熱脂,這代表最惡劣的情況。如果再忽略局部網絡Foster模型中的熱容,加上的功率階躍會立即在整個熱阻鏈形成溫度差,結溫和導熱脂的溫度都會立即上升到一個恒定值,但這并不能反映出系統的物理行為。有兩種方法可以避免這問題:
如果要通過測量確定散熱器的Zth,則應使用管殼溫度Tc而不是散熱器溫度Th。在這種情況下,導熱脂包含在散熱器測量中。
如果IGBT工況可以調整,那可以做到功率損耗PL(t)已知,這樣可以直接測量外殼溫度 Tc(t),并按照圖五所示將其納入計算。
將半導體模塊和散熱器合并為一個系統模型
用戶通常會避免花太多精力去做測量,希望根據現有的IGBT/二極管模型和所需的散熱器數據創建一個散熱系統模型。連續分數和部分分數模型都可以描述IGBT的"結到管殼"和散熱器的"散熱器到環境"各自的導熱特性。如果要將IGBT和散熱器模型組合在一起,就會出現應使用哪種模型的問題,尤其是在IGBT和散熱器參數已知的情況下。
基于連續網絡模型(Cauer模型)熱系統模型
連續網絡模型是由同類型的單個模型構成,將每個單層依次加熱的物理概念形象化了。這些層依次加熱,熱流達到散熱器,因此散熱器溫度上升需要一定時間。Cauer模型可以通過仿真或從通過測量獲得的局部網絡模型Foster模型轉換過來。
通常的做法是通過對整個裝置的各個層進行材料分析和有限元仿真來建立模型,但這只有在有特定散熱器數據的情況下才有可能,因為散熱器對半導體模塊內的熱擴散有影響,因此也會改變模塊的熱響應時間,并由此對Zth(j-c)產生影響。實際應用中的散熱器與散熱器仿真模型的偏差在模型將不會反映出來。
通常在數據手冊中使用Foster模型,因為這可以通過測量和相關分析獲得,Zth(j-c)描述器件很方便。可以將Foster模型轉換Cauer模型,Python和Matlab都有相應的工具,但這種轉換結果并不唯一。就是說轉換產生的熱阻(Rth)和熱容(Cth)數組并不唯一確定的,在新的連續網絡模型(Cauer模型)也沒有任何物理意義。因此,合并互不協調的Cauer模型可能會導致很大的誤差。
基于Foster模型的熱系統模型
數據手冊中的半導體模塊熱阻Foster模型,也是使用特定散熱器測試出來的。風冷散熱器使模塊中的熱流擴散范圍更廣,因此測量結果更好,即Rth(j-c)更低;而水冷式散熱器中的熱量擴散不是很大,因此測量結果中的Rth(j-c)值比較高。
英飛凌數據手冊的熱阻是用水冷散熱器測得的,所以提供的Foster模型代表了更嚴酷的工況,這意味著應用中安全裕量比較大。
由于是串聯網絡(見圖七),加在芯片上的功耗立即到達散熱器,因此,在早期階段,結溫的上升取決于散熱器模型。(由于熱容是串聯的,按照電容兩端電壓不能突變的概念,熱流立即傳到了散熱器)
對于風冷散熱系統,散熱器的時間常數從大約10秒到數百秒不等,這遠遠高于IGBT本身的時間常數值--大約1s。在這種情況下,計算得出的散熱器溫升對IGBT溫度的影響程度非常小。
但是,水冷散熱系統具有相對較低的熱容量,即相應的時間常數較小。對于"非常快"的水冷散熱器,即對半導體模塊基板進行直接水冷卻(例如pin-fin和Wave模塊)的系統,應對半導體模塊加散熱器的整個系統進行Zth測量。Wave和普通銅基板模塊瞬態特性比較見下圖。
由于模塊中的熱擴散會受散熱器影響,因此,無論是在連續網絡模型(Cauer模型)還是局部網絡模型(Foster模型)中,在將半導體模塊模型和散熱器模型構成系統時都有誤差。克服這一問題的方法是對半導體模塊到散熱器的Zth進行建模或測量。只有通過測量熱阻抗Zth(j-a),即同時測量從芯片經半導體模塊封裝、導熱脂、散熱器到環境的整個熱路徑,才能獲得完整的沒有人為誤差的熱系統模型。這樣就得到了整個系統的Foster模型,從而可以精確計算出芯片結溫。再一次強調,高功率密度設計離不開對系統的熱測試和定標,這時平臺化設計的基礎。
本文要點:
1.數據手冊上的瞬態熱阻抗曲線是基于沒有物理意義的Foster模型,測試是采用水冷散熱器,熱容小,更嚴酷。
2.瞬態熱阻抗曲線與散熱器的熱擴散有關,建議系統設計時,對芯片到散熱器直接進行建模或測量。
免責聲明:本文為轉載文章,轉載此文目的在于傳遞更多信息,版權歸原作者所有。本文所用視頻、圖片、文字如涉及作品版權問題,請聯系小編進行處理。
推薦閱讀:
Qorvo? 將在 CES? 2025 呈現“智能生活進化論”






