【導讀】除了升高或降低信號電壓外,變壓器還具有另一個非常有用的特性,即隔離。由于變壓器的初級和次級繞組之間沒有直接的電氣連接,因此變壓器的輸入和輸出電路之間提供了完全的電氣隔離。連接在放大器和揚聲器之間的音頻變壓器也可以利用這種隔離特性。
除了升高或降低信號電壓外,變壓器還具有另一個非常有用的特性,即隔離。由于變壓器的初級和次級繞組之間沒有直接的電氣連接,因此變壓器的輸入和輸出電路之間提供了完全的電氣隔離。連接在放大器和揚聲器之間的音頻變壓器也可以利用這種隔離特性。
我們在本節關于變壓器的介紹中了解到,變壓器是一種電氣設備,它允許正弦輸入信號(例如音頻信號或電壓)產生輸出信號或電壓,而無需輸入側和輸出側物理連接。這種耦合是通過將兩個(或更多)線圈(稱為繞組)的絕緣銅線纏繞在軟磁鐵芯上來實現的。
音頻變壓器
當交流信號施加到初級輸入繞組時,由于軟鐵芯的電感耦合,輸出次級繞組上會出現相應的交流信號。輸入和輸出線圈之間的匝數比決定了施加信號通過變壓器時的增加或減少。
然后,音頻變壓器可以被視為升壓型或降壓型,但音頻變壓器不是繞制以產生特定的電壓輸出,而是主要用于阻抗匹配。此外,匝數比為 1:1 的變壓器不會改變電壓或電流水平,而是將初級電路與次級側隔離。這種類型的變壓器通常稱為隔離變壓器。
變壓器不是智能設備,但可以用作雙向設備,使得正常的初級輸入繞組可以成為輸出繞組,正常的次級輸出繞組可以成為輸入,并且由于這種雙向特性,變壓器在一個方向上使用時可以提供信號增益,在反向使用時可以提供信號損失,以幫助匹配不同設備之間的信號或電壓水平。
還要注意的是,單個變壓器可以有多個初級或次級繞組,這些繞組沿其長度還可以有多個電氣連接或“抽頭”。多抽頭音頻變壓器的優點是它們提供不同的電阻抗以及不同的增益或損耗比,使其可用于放大器和揚聲器負載的阻抗匹配。
顧名思義,音頻變壓器設計用于在音頻頻帶內工作,因此可以應用于輸入級(麥克風)、輸出級(揚聲器)、級間耦合以及放大器的阻抗匹配。在所有情況下,都需要考慮頻率響應、初級和次級阻抗以及功率能力。
音頻和阻抗匹配變壓器的設計與低頻電壓和電源變壓器相似,但它們的工作頻率范圍要寬得多。例如,20Hz 至 20kHz 語音范圍。音頻變壓器還可以在一個或多個繞組中傳導直流電,用于數字音頻應用以及轉換高頻電壓和電流水平。
音頻變壓器阻抗匹配
音頻變壓器的主要應用之一是阻抗匹配。音頻變壓器非常適合平衡具有不同輸入/輸出阻抗的放大器和負載,以實現功率傳輸。
例如,典型的揚聲器阻抗范圍為 4 至 16 歐姆,而晶體管放大器輸出級的阻抗可能高達幾百歐姆。一個典型的例子是 LT700 音頻變壓器,它可用于放大器的輸出級以驅動揚聲器。
我們知道,對于變壓器來說,初級繞組的線圈匝數 (N P ) 與次級繞組的線圈匝數 (N S ) 之比稱為“匝數比”。由于兩個繞組的每個單線圈匝內都會產生相同量的電壓,因此初級與次級電壓比 (V P /V S ) 將與匝數比相同。
阻抗匹配音頻變壓器總是通過其匝數比的平方給出從一個繞組到另一個繞組的阻抗比值。也就是說,它們的阻抗比等于其匝數比的平方,也等于其初級與次級電壓比的平方,如圖所示。
阻抗比
音頻變壓器阻抗比
其中 Z P是初級繞組阻抗,Z S是次級繞組阻抗,(N P /N S ) 是變壓器匝數比,(V P /V S ) 是變壓器電壓比。
例如,阻抗匹配音頻變壓器的匝數比(或電壓比)為 2:1,其阻抗比為 4:1。
音頻變壓器示例 No1
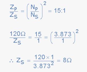
需要使用阻抗比為 15:1 的音頻變壓器來匹配功率放大器的輸出和揚聲器。如果放大器的輸出阻抗為 120Ω。計算功率傳輸所需的揚聲器的標稱阻抗。
阻抗匹配示例
然后功率放大器可以有效地驅動8歐姆揚聲器。
音頻 100V 線路變壓器
另一種非常常見的阻抗匹配應用是用于 100 伏線路變壓器,用于通過公共廣播擴音系統傳輸音樂和語音。這些類型的天花板揚聲器系統使用距離功率放大器一定距離的多個揚聲器。
通過使用線路隔離變壓器,可以將任意數量的低阻抗揚聲器連接在一起,以便它們正確地加載放大器,從而在放大器(源)和揚聲器(負載)之間提供阻抗匹配,實現功率傳輸。
由于對于給定的電纜電阻,信號通過揚聲器電纜的功率損耗與電流的平方 (P = I 2 R) 成正比,因此用于公共廣播 (PA) 或擴音器的放大器的輸出電壓使用標準恒定電壓輸出電平,即峰值 100 伏 (均方根 70.7 伏)。
例如,驅動 8 歐姆揚聲器的 200 瓦功放提供 5 安培電流,而使用 100 伏線路的 200 瓦功放全功率時僅提供 2 安培電流,因此可以使用較小規格的電纜。但請注意,只有當驅動線路的功率放大器以全額定功率運行時,線路上才會存在 100 伏電壓,否則功率(音量較低)和線路電壓會降低。
因此,對于 100V(70.7V rms)線路揚聲器系統,線路變壓器將音頻輸出信號電壓升壓至 100 伏,以便給定功率輸出的傳輸線電流相對較低,從而減少信號損耗,從而允許使用直徑或規格較小的電纜。
由于典型揚聲器的阻抗通常較低,因此每個連接到 100V 線路的揚聲器都使用一個阻抗匹配降壓變壓器(通常稱為線到音圈變壓器),如圖所示。
100V 輸電線路變壓器
100V 線路變壓器
在這里,放大器使用升壓變壓器,在給定功率輸出的情況下,以較低的電流提供恒定的 100 伏傳輸線電壓。揚聲器并聯在一起,每個揚聲器都有自己的阻抗匹配降壓變壓器,以降低次級電壓并增加電流,從而使 100V 線路與揚聲器的低阻抗相匹配。
使用這種音頻傳輸線的優點是,即使多個單獨的揚聲器、擴音器或其他此類聲音執行器具有不同的阻抗和功率處理能力,它們也可以連接到一條線路上。例如,4 歐姆時功率為 5 瓦,或 8 歐姆時功率為 20 瓦。
阻抗匹配變壓器
通常,傳輸線匹配變壓器在初級繞組上有多個連接點,稱為分接點,允許為每個單獨的揚聲器選擇合適的功率水平(以及音量)。此外,次級繞組也有類似的分接點,提供不同的阻抗以匹配所連接揚聲器的阻抗。
在這個簡單的例子中,100V 線路到揚聲器變壓器可以在其次級側驅動 4、8 或 16 歐姆揚聲器負載,其初級側的放大器額定功率分別為 4、8 和 16 瓦,具體取決于所選的分接點。實際上,PA 系統線路變壓器可以選擇用于任何串聯和并聯揚聲器負載組合,功率處理能力高達幾千瓦。
但是,除了恒壓阻抗匹配線路變壓器外,音頻變壓器還可用于將低阻抗或低信號輸入設備(如麥克風、轉盤動圈拾音器、線路輸入等)連接到放大器或前置放大器。
由于輸入音頻變壓器必須在很寬的頻率范圍內工作,因此它們通常被設計成使得其繞組的內部電容與其電感產生共振,以改善其工作頻率范圍,從而允許使用更小的變壓器磁芯尺寸。
我們在本教程中了解音頻變壓器時已經看到,音頻變壓器用于匹配不同音頻設備之間的阻抗,例如,作為線路驅動器在放大器和揚聲器之間進行阻抗匹配,或在麥克風和放大器之間進行阻抗匹配。
與在 50 或 60Hz 等低頻下工作的電力變壓器不同,音頻變壓器設計用于在音頻頻率范圍內工作,即從大約 20Hz 到 20kHz 或對于射頻變壓器來說更高的頻率。
由于頻帶較寬,音頻變壓器的鐵芯由特殊等級的鋼制成,例如硅鋼或具有極低磁滯損耗的特殊鐵合金。
音頻變壓器的主要缺點之一是體積較大且價格昂貴,但使用特殊磁芯材料可以實現更小的設計。這是因為一般來說,變壓器磁芯尺寸會隨著電源頻率的降低而增大。
免責聲明:本文為轉載文章,轉載此文目的在于傳遞更多信息,版權歸原作者所有。本文所用視頻、圖片、文字如涉及作品版權問題,請聯系小編進行處理。
推薦閱讀:





