- IGBT失效原因分析
- IGBT保護方法
- IGBT保護方法
- 實驗結果分析
- 整流拉逆變式組合保護方案
1引言
隨著電力電子器件制造技術的發展,高性能、大容量的絕緣柵雙極晶體管(IGBT)因其具有電壓型控制、輸入阻抗大、驅動功率小、開關損耗低及工作頻率高等特點,而越來越多地應用到工作頻率為幾十kHz以下,輸出功率從幾kW到幾百kW的各類電力變換裝置中。IGBT逆變器中最重要的環節就是高性能的過流保護電路的設計。專用驅動模塊都帶有過流保護功能。一些分立的驅動電路也帶有過電流保護功能。在工業應用中,一般都是利用這些瞬時過電流保護信號,通過觸發器時序邏輯電路的記憶功能,構成記憶鎖定保護電路,以避免保護電路在過流時的頻繁動作,實現可取的過流保護。本文分析了大功率可控整流電壓型逆變器中封鎖驅動及整流拉逆變式雙重保護電路結構。
2IGBT失效原因和保護方法
2.1IGBT失效原因分析
引起IGBT失效的原因有:
1)過熱損壞集電極電流過大引起的瞬時過熱及其它原因,如散熱不良導致的持續過熱均會使IGBT損壞。如果器件持續短路,大電流產生的功耗將引起溫升,由于芯片的熱容量小,其溫度迅速上升,若芯片溫度超過硅本征溫度(約250℃),器件將失去阻斷能力,柵極控制就無法保護,從而導致IGBT失效[1]。實際運行時,一般最高允許的工作溫度為130℃左右。
2)超出關斷安全工作區引起擎住效應而損壞擎住效應分靜態擎住效應和動態擎住效應。IGBT為PNPN4層結構,其等效電路如圖1所示。體內存在一個寄生晶閘管,在NPN晶體管的基極與發射極之間并有一個體區擴展電阻Rs,P型體內的橫向空穴電流在Rs上會產生一定的電壓降,對NPN基極來說,相當于一個正向偏置電壓。在規定的集電極電流范圍內,這個正偏置電壓不大,對NPN晶體管不起任何作用。當集電極電流增大到一定程度時,該正向電壓足以使NPN晶體管開通,進而使NPN和PNP晶體管處于飽和狀態。于是,寄生晶閘管導通,門極失去控制作用,形成自鎖現象,這就是所謂的靜態擎住效應。IGBT發生擎住效應后,集電極電流增大,產生過高功耗,導致器件失效。動態擎住效應主要是在器件高速關斷時電流下降太快,dvCE/dt很大,引起較大位移電流,流過Rs,產生足以使NPN晶體管開通的正向偏置電壓,造成寄生晶閘管自鎖[2]。

圖1 IGBT等效電路
3)瞬態過電流IGBT在運行過程中所承受的大幅值過電流除短路、直通等故障外,還有續流二極管的反向恢復電流、緩沖電容器的放電電流及噪聲干擾造成的尖峰電流。這種瞬態過電流雖然持續時間較短,但如果不采取措施,將增加IGBT的負擔,也可能會導致IGBT失效。
4)過電壓造成集電極發射極擊穿。
5)過電壓造成柵極發射極擊穿。
2.2IGBT保護方法
當過流情況出現時,IGBT必須維持在短路安全工作區(SCSOA)內。IGBT承受短路的時間與電源電壓、柵極驅動電壓以及結溫有密切關系。為了防止由于短路故障造成IGBT損壞,必須有完善的故障檢測與保護環節。一般的檢測方法分為電流傳感器和IGBT欠飽和式保護。
1)封鎖驅動信號
在逆變電源的負載過大或輸出短路的情況下,通過逆變橋輸入直流母線上的電流傳感器進行檢測。當檢測電流值超過設定的閾值時,保護動作封鎖所有橋臂的驅動信號。這種保護方法最直接,但吸收電路和箝位電路必須經特別設計,使其適用于短路情況。這種方法的缺點是會造成IGBT關斷時承受應力過大,特別是在關斷感性超大電流時,必須注意擎住效應。
[page]
2)減小柵壓
IGBT的短路電流和柵壓有密切關系,柵壓越高,短路時電流就越大。在短路或瞬態過流情況下若能在瞬間將vGS分步減少或斜坡減少,這樣短路電流便會減小下來,當IGBT關斷時,di/dt也減小。集成驅動電路如EXB841或M579xx系列都有檢測vCES電路,當發現欠飽和時,柵壓箝位到10V左右,增大vCES,限制過電流幅值,延長允許過流時間。短路允許時間tsc和短路電流Isc同柵極電壓vG的關系如圖2所示。

3整流拉逆變式組合保護方案
3.1逆變部分保護
本設計逆變器為半橋式結構,串聯諧振負載,驅動采用IR公司的IR2110半橋驅動芯片。IR2110電路簡單,成本低,適用于中大功率IGBT,實驗結果也驗證了IR2110驅動中大功率IGBT的可行性。IR2110芯片有一個封鎖兩路驅動的SD輸入端,當此引腳為高電平時,立刻封鎖兩路輸出,如圖3所示。

電壓型逆變器引起短路故障的原因有:
1)直通短路橋臂中某一個器件(包括反并二極管)損壞;或由于控制電路,驅動電路的故障,以及干擾引起驅動電路誤觸發,造成一個橋臂中兩個IGBT同時開通。
2)負載電路短路在某些升壓變壓器輸出場合,副邊短路的情況。
3)逆變器輸出直接短路
圖4給出了保護電路框圖。直通保護電路必須有非常快的速度,在一般情況下,如果IGBT的額定參數選擇合理,10μs之內的過流就不會損壞器件,所以必須在這個時間內關斷IGBT。母線電流檢測用霍爾傳感器,響應速度快,是短路保護檢測的最佳選擇。比較器用LM319,檢測值與設定值比較,一旦超過,馬上輸出保護信號封鎖驅動。同時用觸發器構成記憶鎖定保護電路,以避免保護電路在過流時的頻繁動作。外接的復位電路也不可缺少。

3.2整流部分保護
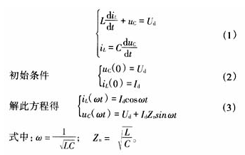
對于大功率電壓型逆變器,為了改善進線電流波形,一般在直流母線上串有濾波電感,如圖5所示。由于電感的存在,當逆變電路一旦停止工作,如果整流電路仍處在整流狀態,則電感中的能量將向電容釋放,在逆變保護動作瞬間電容將承受一個很高的過沖電壓,若不采取措施,可能會直接導致電容過壓損壞。尤其在負載電流很高,L中儲能很大時,更加危險。

假設逆變關斷時濾波電感中的電流全部從電容C中流過,同時整流器繼續輸出電壓Ud。圖6給出了等效電路,L與C串聯諧振,由于整流橋電流只能單向流通,所以振蕩到T/4時結束。


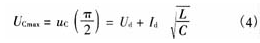
可見在諧振到1/4周期時,電容上的電壓達到最大值,之后諧振停止。

電容上最后電壓與母線電流,電感及電容有關。在我們試驗用的10kW樣機中,直流母線電壓200V時讓逆變瞬間在保護信號下關斷,母線電壓突然上升到近450V。針對此種現象,采用在保護動作的同時將整流電路拉到逆變工作狀態(觸發角α拉到約150°),使濾波電感中的能量大部分回饋到電網。
在實際應用中,由于驅動電路的故障導致上下橋臂IGBT直通的可能性很小。鑒于此,也可以采用單一的整流部分拉逆變的保護方法。對于像負載過流或短路,都能在IGBT允許的短路電流時間內將整個裝置的工作停下來。這種保護方法并不直接針對IGBT,而是將前級整流輸入關斷,故障時IGBT仍處于工作狀態。這屬于“軟保護”,對IGBT沒有應力沖擊,同時也可以避免在大電流下瞬間關斷可能導致IGBT超出關斷安全工作區而處于擎住狀態。
4實驗結果
這種保護方案已成功地應用于大功率高頻高壓電壓型串聯諧振逆變器中,中壓輸出經升壓變壓器升到6kV,用于材料電暈處理。樣機輸出功率約10kW。由于負載是高壓電暈處理器,升壓變壓器內部容易發生原、副邊擊穿現象。試驗中發現,不論對于負載短路,變壓器擊穿引起的過流,還是輸入電壓過高引起的過流都能很好地保護逆變器不受損壞。
5結論
IGBT是逆變器中最容易損壞的部分,特別是對于電壓型可控整流電路。在對IGBT直通保護時還要考慮到關斷逆變器對前級電路的影響。本文所介紹的整流逆變同時保護的方案可以可靠保護整個逆變器,并在實踐中取得了良好的效果。
參考文獻
[1]RahulS.Chokhawala,JamieCatt,LaszloKiraly.AdiscussiononIGBT shortcircuitbehaviorandfaultprotectionschemes.IEEETransactionson applications,1995,31(2).
[2]張立,黃兩一.電力電子場控器件及其應用.北 京,機械工業出版社.




