【導讀】S參數量化了RF能量是如何通過系統傳播的,因而包含有關其基本特征的信息。使用S參數可以將最復雜的RF器件表示為簡單的N端口網絡。圖1顯示了一個雙端口未平衡網絡的例子,該網絡可用于表示許多標準RF元件,例如RF放大器、濾波器或衰減器等。
本文將介紹在描述任何RF組件時需要用到的一個最基本術語——散射參數(或S參數)。但是,與有關該主題的其他很多文章不同,本文不僅會聚焦S參數的基本定義,而且還會簡要概述其在RF工程中常用的主要類型。
01 基本定義
S參數量化了RF能量是如何通過系統傳播的,因而包含有關其基本特征的信息。使用S參數可以將最復雜的RF器件表示為簡單的N端口網絡。圖1顯示了一個雙端口未平衡網絡的例子,該網絡可用于表示許多標準RF元件,例如RF放大器、濾波器或衰減器等。
圖1.雙端口未平衡RF網絡
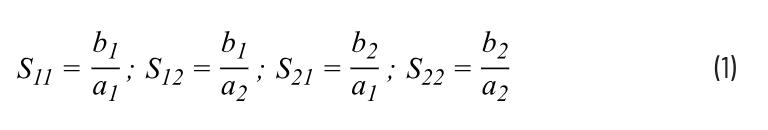
示意圖顯示的波量a是入射在器件端口1和端口2上的電壓波的復數幅度。如果使用相應的波量a1或a2依次激勵一個端口,同時另一個端口端接到匹配的負載中,我們就可以根據波量b來定義器件的正向和反向響應。這些數量代表了從網絡端口反射和通過網絡端口透射的電壓波。基于所得復數響應和初始激勵量的比率,我們可以定義雙端口器件的S參數,如式1所示:
然后,我們可以將S參數組成一個散射矩陣(S-Matrix)來反映其所有端口的復數波量之間的關系,由此表示該網絡的內在響應。對于雙端口未平衡網絡,激勵-響應關系的形式如式2所示:
對于任意N端口RF器件,可以類似方式定義S矩陣。
02 S參數的類型
如果沒有明確說明,則“S參數”一詞通常是指小信號S參數。它表示RF網絡對小信號激勵的響應,量化了線性工作模式下不同頻率的反射和透射特性。使用小信號S參數,我們可以確定基本RF特性,包括電壓駐波比(VSWR)、回報損耗、插入損耗或給定頻率的增益。
然而,如果不斷增加通過RF器件的信號的功率水平,通常會導致更明顯的非線性效應。這些效應可以利用另一種類型的散射參數——即大信號S參數來量化。它們不僅會隨著頻率不同而變化,而且也會隨著激勵信號的功率水平不同而變化。此類散射參數可用于確定器件的非線性特性,例如壓縮參數。
小信號和大信號S參數通常均利用連續波(CW)激勵信號并應用窄帶響應檢測來測量。但是,許多RF器件被設計為使用脈沖信號工作,這些信號具有寬頻域響應。這使得利用標準窄帶檢測方法精確表征RF器件具有挑戰性。因此,對于脈沖模式下的器件表征,通常使用所謂的脈沖S參數。這些散射參數是通過特殊的脈沖響應測量技術獲得的。
還有一類我們平時很少談論但有時可能變得很重要的S參數,那就是冷模式S參數。“冷模式”一詞是指有源器件在非活動模式(即其所有有源元件都不工作,例如晶體管結反向或零偏置且無傳輸電流流動)下獲取的散射參數。此類S參數可用于改善帶關斷狀態元件的信號鏈分段的匹配,這些元件會在信號路徑中引起高反射。
到目前為止,我們為單端器件的典型示例定義了S參數,其中刺激和響應信號均以地為基準。但是,對于具有差分端口的平衡器件,此定義還不夠。平衡網絡需要更廣泛的表征方法,它必須能夠充分描述其差分模式和共模響應。這可以利用混合模式S參數來實現。圖2顯示了混合模式散射參數的一個例子,這些參數組成一個擴展S矩陣,代表一個典型的雙端口平衡器件。
圖2.雙端口平衡RF網絡及其混合模式散射矩陣
此矩陣中的混合模式S參數的下標使用如下命名約定:b模式、a模式、b端口和a端口,前兩個描述響應端口的模式(b模式)和激勵端口的模式(a模式),后兩個指定這些端口的索引號,b端口對應響應端口,a端口對應激勵端口。在示例中,端口模式由下標定義,d表示差分模式,c表示共模模式。但是,在同時具有平衡端口和未平衡端口的更一般情況下,混合模式S矩陣還會有其他元素,下標s描述針對單端端口獲得的量。利用混合模式散射參數,我們不僅可以確定RF器件的基本參數,例如回報損耗或增益,還可以確定用于表征差分電路性能的關鍵品質因數,例如共模抑制比(CMRR)、幅度不平衡和相位不平衡程度。
03 結論
本文介紹了散射參數的基本定義,并簡要討論了其主要類型。S參數可用于描述RF器件在不同頻率下和對于信號的不同功率水平的基本特性。RF應用的開發高度依賴于描述RF設計的整體結構和組成部分的S參數數據。RF工程師測量或依賴已經存在的S參數數據,該數據通常存儲在稱為Touchstone或SNP文件的標準文本文件中。當今市場上的大部分常用RF器件都有這種免費提供的文件。
免責聲明:本文為轉載文章,轉載此文目的在于傳遞更多信息,版權歸原作者所有。本文所用視頻、圖片、文字如涉及作品版權問題,請聯系小編進行處理。
推薦閱讀:




