【導讀】 本文介紹的內容是電源電路中常用的緩沖電路的組成元器件和常數。這里的緩沖電路不僅用于本文中的準諧振轉換器,還用于其他文章中提到的反激式轉換器。
本文介紹的內容是電源電路中常用的緩沖電路的組成元器件和常數。這里的緩沖電路不僅用于本文中的準諧振轉換器,還用于其他文章中提到的反激式轉換器。
什么是緩沖電路
緩沖電路是抑制浪涌的電路。在本例中是為了抑制輸入浪涌而設置在輸入端,其實也可用于輸出端。由于輸入連接于變壓器的一次側,所以受變壓器的漏電感影響,當MOSFET從ON變為OFF的瞬間,將產生較大的浪涌電壓(尖峰噪聲)。這種浪涌電壓施加在MOSFET的漏極-源極之間,因此如果產生的浪涌電壓超過MOSFET的耐壓,可能會造成MOSFET損壞。為了防止MOSFET損壞,插入由RCD(電阻、電容、二極管)組成的緩沖電路以抑制浪涌電壓。由于大多數情況下都會產生這種浪涌,因此建議在設計之初就設置緩沖電路。
緩沖電路:Rsnubber1、Csnubber1及D13、D14、D15、D16
在本例中使用的緩沖電路,由電阻Rsnubber1、電容Csnubber1以及二極管D13、D14、D15、D16組成,只要去掉D15和D16就是典型的RCD緩沖電路。首先來確定鉗位電壓和鉗位紋波電壓,并按R、C、D的順序確定常數。
1)鉗位電壓(Vclamp)、鉗位紋波電壓(Vripple)
鉗位電壓需要根據MOSFET的耐壓考慮到余量來決定。余量取20%。
Vclamp=1700V×0.8=1360V
鉗位紋波電壓(Vripple)定為50V左右。

2)電阻Rsnubber1
Rsnubber1的選型需要滿足以下條件:

這里設漏電感Lleak=Lp×10%=1750μH×10%=175μH,利用下列公式計算Po=25W、VIN(max)=900V時的Ip和fsw。

根據上述計算:

fsw從161kHz變為120kHz的原因與以前介紹的一樣,因為電源IC的最大開關頻率為120kHz。Rsnubber1是比計算結果253kΩ小的值,因此定為200kΩ。
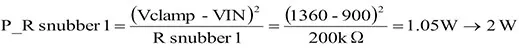
Rsnubber1的損耗P_Rsnubber1可利用以下公式進行計算。

考慮到余量,定為2W以上。最終Rsnubber1采用2W、200kΩ的電阻。

3)Csnubbe1
Csnubber1的電容量通過下列公式計算。

由于容量要大于1607pF,所以選擇2200pF。
施加于Csnubber1的電壓為從Vclamp減去VIN(MAX)后的電壓,即1360V-900=460V,因此考慮到余量,Csnubber1的耐壓定為600V以上。最終選用2200pF、2kV、10%、X7R、1210封裝的陶瓷電容。
4)D13、D14
4個二極管中,D13和D14使用快速恢復二極管。耐壓選擇MOSFET的Vds(max)=1700V以上的電壓。此次串聯使用2個通用的UF4007(1000V、1A)。
由于浪涌電壓不僅受變壓器的漏電感影響,還受PCB板薄膜布線的寄生分量影響,因此需要在組裝于實際PCB板中的狀態下確認Vds,并根據實際的電壓調整緩沖電路。
5)D15、D16
這些二極管是TVS(瞬態電壓抑制)二極管,是浪涌吸收元件。當需要獲得更優異的保護性能時,可添加TVS來吸收瞬態尖峰噪聲。通過確認MOSFET開關時的波形來決定是否使用。施加于這部分的計算值電壓與施加于Csnubber1的電壓相同,均為460V,因此串聯使用2個鉗位電壓274V的1.5KE200A二極管,來吸收超出的瞬態電壓。
關鍵要點
● 為了抑制輸入中的變壓器漏電感引發的浪涌,可添加緩沖電路。
● 緩沖電路基本上采用RCD型電路,要想獲得更優異的保護性能,可添加TVS二極管。
(來源:羅姆半導體集團)



