【導讀】本文來帶關于三極管放大器之米勒效應的技術講解。三極管共射級放大器是最常用的放大器電路,共射級放大電路如下。
一:三極管共射級放大電路
三極管共射級放大器是最常用的放大器電路,共射級放大電路如下:

由模擬電路設計系列講座十二可知三極管的高頻等效模型如下:

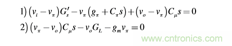
根據電路原理可得電壓節點方程:

其中:

由以上可得出:

1)第一項gmRL就是直流電壓增益
2)第二項是由rΠ、rx與Rs帶來的電壓衰減(分壓)
3)此傳含有一個右半平面零點,頻率點位于gm/Cμ,此頻率點頻率甚高,遠遠大于三極管的wT,因此分析過程中我們可以忽略此高頻零點
4)由此傳含可知該傳含有兩個極點
二:共射級放大電路單極點等效模型
忽略右半平面高頻零點,另外由三極管的帶寬限制,可以得到三極管共射級放大電路單極點等效模型如下:

其中Cμ被放大了1+(gm+Gs')RL倍,也就是說輸入與輸出之間的反饋電容被放大了1+(gm+Gs')RL倍,這就是米勒效應。

三:米勒效應的進一步探討
如圖(a),電容Cf跨界于負反饋反放大電路兩端,放大器增益(放大倍數)為-A。

由圖(b),我們可以求出此放大器的輸入阻抗:

因此放大器的負反饋效應使得放大器的輸入電容為反饋電容的1+A倍,A 為放大器的增益,這就是著名的米勒效應。




