【導讀】任何散熱解決方案的目標都是確保設備的工作溫度不超過其制造商規定的安全限值。在電子工業中,這個工作溫度被稱為器件的“結溫”。例如,在處理器中,這個術語字面上指的是電能轉換為熱量的半導體結。
任何散熱解決方案的目標都是確保設備的工作溫度不超過其制造商規定的安全限值。在電子工業中,這個工作溫度被稱為器件的“結溫”。例如,在處理器中,這個術語字面上指的是電能轉換為熱量的半導體結。
為了保持工作,熱量必須以確保可接受的結溫的速率流出半導體。當熱流從整個器件封裝的結處移動時,這種熱流遇到阻力,就像電子在流過導線時面對電阻一樣。在熱力學方面,這種電阻稱為導電電阻,由幾個部分組成。從結點開始,熱量可以流向元件的殼體,可以放置散熱器。這被稱為ΘJC,或結至殼體的熱阻。熱量也可以從組件的頂部表面流出并流入板中。這被稱為結到電路板電阻,或ΘJB
ΘJB定義為當熱路徑僅從結點到電路板時,結點和電路板之間的溫差除以功率。為了測量ΘJB,器件的頂部是絕緣的,冷板連接到電路板邊緣(圖1)。這是真正的熱阻,這是器件的特性。唯一的問題是,在實際應用中,人們不知道從不同路徑傳輸了多少功率。

圖1:橫截面圖環形冷板RΘJB 2 。
ΨJB是使用多個傳熱路徑時的溫差的度量,例如組件的側面和頂部董事會。這些多路徑是實際系統中固有的,必須謹慎使用測量。
由于組件內有多個傳熱路徑,單個電阻不能用于精確計算結溫。從結到環境的熱阻必須進一步細分為電阻網絡,以提高結溫預測的精度。簡化的電阻網絡如圖2所示。

圖2:結至環境電阻網絡。
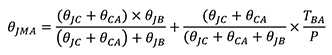
Joiner等人 1 完成的先前工作將ΘJMA與電路板溫度相關聯(見公式1)。 ΘJMA是在評估所有傳熱路徑時從結到環境的總熱阻。在這種情況下,ΘCA由散熱器熱阻以及器件和接收器之間的界面電阻表示。
表1列出了典型BGA組件的JEDEC參數。這些用于以下示例計算中:
ΘJMA=移動空氣熱阻的結點
ΘJB=結至電路板的熱阻
ΘJC=結至殼體的熱阻
ΘCA= Case環境熱阻
TBA =電路板溫升

參數說明值單位ΘJC熱電阻 -
結到外殼0.45°C/WΘJB熱阻 -
結至電路板2.6°C/W TDP熱設計功率20 W Tj最高結溫105°C
表1:典型熱封裝規格
隨著電路板布局變得越來越密集,需要設計出使用盡可能少空間的優化散熱解決方案。簡而言之,沒有余量允許過度設計的散熱器具有緊密的元件間距??紤]板耦合的影響是這種優化的重要部分。只有在考慮結殼到殼體的傳熱路徑時才存在使用超大尺寸散熱器的可能性。
為確保在55°C環境溫度下的105°C結溫,典型元件(見表1)需要2.05°C/W的散熱器電阻(如果忽略電路板導通)。當考慮電路板導通時,假設電路板溫度與空氣溫度相同,實際結溫可能低至74°C。這表示散熱片大于必要的溫度。
從這個例子可以看出,必須考慮來自元件連接點的所有傳熱路徑。僅使用ΘJC和ΘCA值可能導致大于最佳的散熱器,并且可能無法準確預測工作結溫。使用建議的相關性也可以預測從實驗中得知電路板溫度時的結溫,如圖3所示。

圖3:電路板溫度升高對結溫的影響。
當存在多個元件時,情況變得比僅使用電路板上的單個元件復雜得多。通過PCB的組件之間存在傳導耦合,以及組件和相鄰卡之間的輻射和對流耦合。圖4顯示了一個帶有兩個元件的簡單PCB。兩個元件的功耗假定為P1和P2,并且假設我們可以忽略輻射傳熱。每個器件下的電路板溫度分別為Tb1和Tb2。我們還假設電路板上兩個元件之間的橫向電阻為θb1b2。

圖4:具有兩個元件的PCB的簡單原理圖。

圖5:具有兩個組件的PCB的簡單電阻網絡。
在節點J1,J2處應用能量平衡,b1和b2:

有四個方程和四個未知數:Tj1,Tj2。 Tb1和Tb2。未知數可以通過求解聯立方程來確定。這個簡單的例子表明,通過傳導路徑耦合兩個元件,找到結溫會變得復雜得多。在實際應用中,當遇到具有不同導電平面的多個組件和多個PCB時,情況比上述示例復雜得多,所有導電平面都通過傳導,對流和輻射相互作用。
為了獲得合理的答案,設計師必須使用合理的工程判斷來近似不同組件之間的耦合。這可以通過以下方法實現:
方法1 - 使用控制體積法或電阻網絡模型的分析模型。這種方法需要過度簡化問題;否則解決方案變得非常復雜和不切實際。
方法2 - 在簡化幾何上使用CFD,如Guenin [4] 所述。該方法表明組件的等效表面積為:
其中An是組件的等效占位面積,Pn是組件的功耗,PTotal是總功耗,ATotal是PCB的總表面積。在計算等效占位面積之后,可以使用CFD模擬具有占位面積An和功耗為1瓦的單個元件的簡單PCB。此過程可有效計算電路板溫度與環境溫度(θBA)之間的差值,功耗為1瓦。圖6顯示了一個這樣的元件的CFD模擬,圖7顯示了θBA作為PCB尺寸的函數。圖7可用于通過簡單計算其有效占地面積來確定其他組件的θBA。假設所有組件具有相同的占位面積。

圖6:PCB上單個組件的CFD模擬

圖7:作為PCB尺寸 4 的函數的ΘBA分布。
電路板溫度可以計算如下:
結溫可以計算為:
其中ψJB是特征參數。
方法3 - 如果PCB可用,通過實驗測量電路板溫度TB,并使用公式8來查找結溫。同樣,這是近似值,因為器件耦合到PCB的條件可能與JEDEC測試板使用的條件完全不同。




