【導讀】在本文第一部分,我們已說明了由漏電感帶來的開關效應:有效占空比的減少,帶來在主電源開關關斷后次級二極管導通時間的延長和次級端電流的延遲。因此,輸出電壓低于原來的公式預測,在RCD鉗位網絡中的功率耗散增加。鑒于漏電感對工作波形的影響,研究其對反激式轉換器小信號響應的影響是有趣的。但在我們進行小信號分析前,需要一個好的平均模型。
負載階躍響應
第一部分介紹的逐周期模型如圖1所示,現在包括一個可變負載。在這仿真中,負載范圍將從8至6 不等,跨度為10 μs,同時記錄輸出。轉換器運行在開環配置,我們會將漏電感從1 μH增加至50 μH,而其它工作參數保持不變(占空比40%)。

圖1:這開環簡化的反激式轉換器將讓我們探索由漏電感帶來的影響
我們已采集圖2中不同漏電感的輸出電壓。垂直刻度是每等分620 mV,對每一波形都相同,但偏移量有所改變以讓所有曲線進入圖中。第一個注釋涉及到振鈴。在幾乎沒有漏電感(1 μH)時,響應振鈴和阻尼很輕。但負載電流的步幅不影響輸出電壓。隨著漏電感增加,振鈴開始減弱,振蕩迅速停止,這時lleak = 50 μH。然而,漏電感越大,輸出電壓越低(從近20 V至17.6 V),靜態電壓下降幅度越大:近0 V時無漏電感,達400 mV時漏電感最大。從這快速仿真中,我們可觀察到漏電感減弱瞬態響應,影響穩態輸出電壓(如第一部分所預測),也會降低輸出阻抗。為探索漏電感對頻率響應的影響,我們需要一個大信號模型然后線性化以給出轉換器的小信號表達式。從這小信號模型中,我們應該能分析表達受漏電感影響的反激式轉換器的控制-輸出傳遞函數。

圖2:不同的漏電感影響開環反激式轉換器的幾個參數
大信號模型
脈寬調制(PWM)開關本身就能很好地模擬一個反激式轉換器。由Dr. Vatché Vorpérian于90年代提出,最簡單的模擬一個工作于CCM模式的雙開關電壓模式DC-DC轉換器的大信號響應和固定開關頻率如圖3 。該原理包括平均兩個連接端之間的波形,“a”(有源)、“p”(無源)和“c”(共有的)以描述 一組連續時間的電流/電壓等式。Vorpérian表明,配置如圖3的電流和電壓源相當于考慮將理想的直流變壓器連接到終端 a-c-p,受匝數比d、占空比影響。

圖3:不可能有比PWM開關模型更簡單的了!
模型是不變的,說明它可替代其它DC-DC轉換器,所有描述這PWM開關的等式保持不變。圖3所示的模型是大信號版本。如果SPICE可提供這模型的小信號響應–因為SPICE是線性求解器,它將在運行仿真前將模型線性化–我們不能使用它的原型來確立控制-輸出傳遞函數。我們需要PWM開關的線性化或小信號版本。如圖4所示,您可看到通用架構,并看它如何轉化為工作中的SPICE模型。對那些對PWM開關的進一步詳細信息感興趣的,有詳盡介紹及大量工作實例。

圖4:PWM開關的小信號版本使原型稍微復雜
請注意源包括幾個與產品的直流和交流值相關的術語。例如,系列源B3表示為{Vap}除以{D},乘以V(d)。{Vap}代表端子“a”和“p”之間的穩態電壓,而{D}是穩態占空比。這些都是固定參數,對應于一個工作點。例如,圖3中降壓轉換器的{Vap}是Vin. d,占空比可以是在0和1 V(0至100%)之間的任意值。
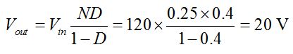
圖5顯示了如何使用PWM開關模型仿真反激式轉換器,它與特定變壓器的等效比為1:d。框架電壓是由仿真器計算出的偏置點。驗證它們在適當的限度內很重要。有時結算器未能確定正確的操作點而是提供一個動態響應。這顯然是個錯誤的結果,必須丟棄它,直到找到一個新的正確的操作點。從第一部分,我們知道CCM反激式轉換器理想的(無漏電感)直流傳遞函數是
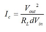
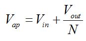
(1)這是原理圖顯示的整個負載電阻:我們的偏置點是正確的。現在我們有了大信號模型,我們可在圖4 的基礎上推出小信號應用。為此,我們需要計算幾個固定參數,Vap和端子“c”的平均電流Ic。一旦您將PWM開關模型調整到適合反激式轉換器結構,在端子“a”和“p”之間的電壓Vap變為輸入電壓Vin減去反射電壓Vout/N(忽略次級二極管Vf)。由于這電壓是負數,我們有
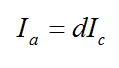
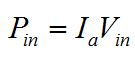
(2)端子“c”的電流是流過初級電感Lp的平均電流。導通或dTsw期間這電流的一部分在端子“a”循環,關斷或 (1–d)Tsw期間流過端子“p”。圖7顯示端子“a”和“c”的典型的瞬時波形。根據圖5中的應用原理圖,端子“a”的平均電流也在輸入源循環以產生Pin:
(3)

圖5:PWM開關模型用于CCM反激式轉換器的一個實際應用

圖6:PWM開關模型的小信號版本僅需幾個控制源。
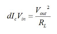
由圖7,我們可寫
(4)將(4)代入(3),并考慮100%的能效(Pin= Pout),我們有
(5)因此
(6)
圖7:端子“c”的電流是初級電感Lp電流。
此表達式按圖5中的參數窗口計算出一個參數并傳遞給受控源(花括號之間的值)。我們現在可仿真并采集一個共用圖中的所有曲線。我們在圖8中繪制出來,所有曲線(幅值和相位)完全重合。這是一個CCM反激式轉換器從占空比輸入到輸出的典型響應。諧振頻率有個峰值,然后等效串聯電阻(ESR)rc 降至零,接下來是右半平面(RHP)相位從0開始進一步下降。

圖8:從3個不同模型(包括大信號模型、基于變壓器的電路和線性化版本)得到的頻率響應完全重合。
考慮漏電感
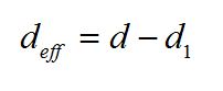
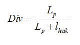
在圖5中給出的平均模型,對模型施加的電壓是Vin。這電壓在dTsw期間偏置初級電感Lp。事實上,按第一部分,考慮漏電感,電壓分于漏電感和初級電感之間,形成分壓器Div:
(7)該模型的第一次升級是由Vin*Div替代Vin。第二次改變涉及占空比d。我們在第一部分已看到,占空比受漏電感磁化時間d1Tsw影響。平均模型的有效占空比需要反應這一事實,得出
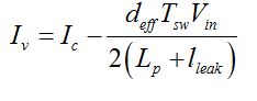
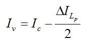
(8)d1取決于漏電感值(忽略次級端二極管壓降Vf)和谷底電流Iv
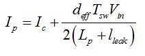
(9)為計算谷底電流,我們可回頭看看圖7,可看到谷底電流實際上是平均電流Ic減去初級電感紋波的一半:
(10)紋波電流是在ton或dTsw期間在串聯的Lp和lleak施加Vin帶來的偏移。因而谷底電流為
(11)峰值電流以類似方法得出,只不過這方法是Ic加上而不是減去電感紋波的一半
(12)在鉗位網絡循環的電流持續d2Tsw,漏電感復位時間。這時間當然取決于lleak,但還有反射電壓Vout和鉗位電壓Vclp的因素。從第一部分我們已確定對應的占空比為
(13)圖9代表了導通期間產生影響的各種電流。低邊是電源開關電流,其上是漏電感電流。當開關關斷,我們已看到電流幾乎立即(忽略Clump充電時間)流入鉗位網絡并迅速降至0。此時,漏電感復位,次級電流達到峰值。

圖9:在漏電感復位時間d2Tsw期間,電流在RCD網絡循環。
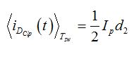
因此在鉗位二極管中循環的平均電流只是沿開關周期的小三角表面的平均值:
(14)因為Ip由(12)計算,我們可在(14)建模的電流源連接一個RC網絡,將得到一個平均鉗位電壓。在SPICE中,這電壓將用于確定如(13)描述的d2。這等式中的峰值電流取決于負載電阻的輸出電壓。這電壓取決于如第一部分所見的d1。當您運行仿真,SPICE最終解出6-未知的/6-方程的系統,有時可能無法確定正確答案。為使它覆蓋到正確的結果,.NODESET報告告知使用什么“種子(seed)”將有效地引導至正確的偏置點。這種子是我們建議在它運行前進行SPICE的鉗位電壓。最終的大信號模型出現在圖10中。附加的指令行是.NODESET V(clp) = 300 V。
現在的工作包括比較從逐周期模型到更新的平均模型的負載階躍響應。選定幾個漏電感值,1 μH, 10 μH 和30 μH。由圖11、圖12和圖13證實,在逐周期模型和平均模型之間的一致性極佳。這些圖的左邊顯示大尺度響應,而右邊顯示放大版,證實平均模型與開關模型的曲線有多吻合。小的差異出現在鉗位電壓,特別在直流電平。此參數預測中的任何擴散導致了最終大的差異。圖14比較了在兩個模型中鉗位二極管陰極觀察到的電壓。兩條曲線吻合得很好,雖然小的偏差在這案例中產生了2.5%的誤差。這誤差隨lleak增加而加大,但對于大的lleak值,誤差保持在10%以內。

圖10:更新的大信號模型現在包括漏電感的影響

圖11:漏電感為1-μH時的瞬態響應

圖12:漏電感為10-μH時的瞬態響應

圖13:漏電感為30-μH時的瞬態響應

圖14:平均模型的鉗位電壓(在鉗位二極管的陰極上)與逐周期模型非常吻合(lleak= 1 μH)。
這些試驗證實,受漏電感影響的大信號模型與逐周期模型十分吻合,因此可考慮用于線性化應用。
結論
在這第二部分,我們已看到漏電感如何影響反激式轉換器工作于CCM的瞬態響應。采用PWM開關模型并考慮漏電感影響,我們能建立一個模擬逐周期模型的平均模型。這有助于證實我們的方案是正確的。它為第三部分作了鋪墊,在第三部分中我們將推導出轉換器的小信號響應。
免責聲明:本文為轉載文章,轉載此文目的在于傳遞更多信息,版權歸原作者所有。本文所用視頻、圖片、文字如涉及作品版權問題,請聯系小編進行處理。
推薦閱讀:




