【導讀】電感器是電路中常見的重要元器件,常用在信號濾波、電能轉換、信號耦合以及磁場檢測等。它利用電磁感應原理對流過的電流的變化產生感應電動勢,兩端的電壓與電流的變化率成正比,其中的比率就是電感的重要參數:電感量,通常記作L。

以電感為中心的RLC串聯電路
電感器是電路中常見的重要元器件,常用在信號濾波、電能轉換、信號耦合以及磁場檢測等。它利用電磁感應原理對流過的電流的變化產生感應電動勢,兩端的電壓與電流的變化率成正比,其中的比率就是電感的重要參數:電感量,通常記作L。
簡單電感的串并聯
與電阻、電容以上,電感也可以通過串聯、并聯形成新的電感。計算串聯、并聯電感的值與電阻的串并聯的計算公式基本一致。多個電感串聯的電感量等于各個電感的電感值相加;多個電感并聯的電感量等于各并聯電感的電感的的倒數之和再取倒數。

電感串聯

電感并聯
與電阻不同的是,電感之間有可能會出現相互的電磁耦合的關系,特別是對于空心電感,磁場會存在電感周圍很大的空間內。如果兩個電感之間的距離很近,方向又一致,就很容易電磁耦合,度量兩個線圈之間電磁耦合程度通常使用互感(Mutual Inductance)來度量,它表征了一個線圈中的電流變化在另外一個線圈中所產生感應電動勢的大小。
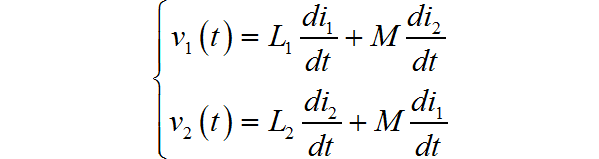
對于有互感的M兩個線圈L1,L2,可以列寫出它們之間的等效電路:

兩個有互感的線圈等效電路

根據產生感應電動勢的極性,可以定義出兩個互感線圈之間的“ 同銘端”,根據極性與參考電壓方向是否相同,可以分為同相互感和反相互感。
對于之間有互感的電感的串聯、并聯之后電感的計算就變得復雜了。在網絡文章 Mutually coupled inductors. Coupling coefficient. Power and energyof mutually coupled inductors. Analysis of circuits with mutuallycoupled inductor.[1] 中,給出了互感線圈的串、并聯計算基本方法。
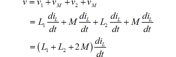
有互感電感的串聯
兩個線圈 之間存在著互感 ,當它們同相串聯的時候,對應的電感量為:

兩個電感同相串聯
可以可跟KVL定理,列寫出串聯支路電壓方程,可以證明該公式:

如果是反相串聯的時候,按照相同的方式,可以證明對應的等效電感量為:

兩個電感線圈反相串聯
根據這個公式,可以來測量兩個線圈之間的互感量M。也就是通過分別測量L1,L2,然后在分別測量他們同相和反相串聯后的電感,便可以計算出它們之間的互感M。
有互感電感并聯
當兩個有互感M的線圈L1,L2并聯時,對應的等效電感分別為:
(1) 同相并聯

帶有互感的線圈并聯
左:同相并聯;右:反相并聯 (2) 反相并聯
公式的證明過程稍微復雜,可以參見前面 論文中的求解過程。[1]
從上面公式可以看到,當互感量M等于0時,它們就退化成最初的簡單電感的串并聯計算公式了。
互感線圈等效變換
存在互感電路往往會使得電路分析變得復雜。將兩個互感的線圈使用T型電路進行等效變換可以簡化電路分析。下面給出了通過互感耦合在一起的電路等效變換。

同相互感等效變換
等效轉換后的電路消除了互感,之后的電路分析可以使用基爾霍夫電壓、電流定理(KCL&KVL)進行分析。
免責聲明:本文為轉載文章,轉載此文目的在于傳遞更多信息,版權歸原作者所有。本文所用視頻、圖片、文字如涉及作品版權問題,請聯系小編進行處理。
推薦閱讀:




