【導讀】對信號完整性工程師來說,分析閉眼圖可不是件容易的事。傳輸信道的頻率響應會導致符號間干擾(ISI),這是造成閉眼問題的主要原因。本文探討如何測量均衡后遺留下的ISI,即所謂的駐留ISI。我們也可以看到,決策反饋均衡(DFE)其實是很簡單的。利用SBRx(t)可以計算均衡方案如何影響串擾。
每個信號完整性工程師都知道,分析閉眼圖從來都不是容易的事。傳輸信道的頻率響應(或缺少帶寬)會導致符號間干擾(ISI),這是造成閉眼問題的元兇。之前我寫過關于閉眼分析技術的文章,這次我們將探討如何測量均衡后遺留下的ISI,即所謂的駐留ISI。在此過程中,我們將認識到決策反饋均衡(DFE)其實是很簡單的。
脈沖響應在定義高速串行總線的技術標準中越來越受歡迎。你可通過碼型發生器發送一長串0、后接一個1、然后另一長串0來產生脈沖。也就是說,脈沖是不歸零(NRZ)位,脈沖響應則與SBR(單比特響應)相同。
與窄峰響應(impulse response)一樣,脈沖響應也包括電路以及軌跡、連接器、線纜、引腳、焊球的阻抗等信息。無論幅值還是相位,它們都是內置的。你甚至可通過在侵擾器(aggressor)上傳輸脈沖來產生串擾脈沖響應,并在受體上測量SBRx(t)。
圖1顯示(a)窄峰和(b)脈沖響應是等價的。

圖1:傳輸信道的有限帶寬延長了(a)窄峰,h(t);(b)單個比特,SBR(t)。(圖片來源:Anritsu公司)。
脈沖響應SBR(t)與窄峰響應h(t)有如下關系:
其中pulse(t)是一長串0、一個1(對于PAM4,是一個3),以及另一長串0。
可以用矢量網絡分析儀(VNA)的頻域來測量脈沖響應SBR(t),并借助時域反射法/時域透射率法(TDR / TDT),或使用示波器。從仿真中提取也很容易。
因為脈沖響應測量提供了關于信道的所有信息——所有關于信道的線性和時間不變的信息,這應該是我們需要考慮的一切,用于特定性能變量的測量和計算指標包括信道工作裕度(COM)和信噪比失真率(SNDR)。
在實際系統中,接收器以波特率(即NRZ的比特率和PAM4比特率的一半)離散地對每個符號進行一次波形采樣。
其中總和是在脈沖響應的持續時間內累加的。SBR(t)的粒度和h(t)通常是每單位間隔(UI)M=32個采樣,如圖2所示。

圖2:每個UI采樣M次的SBR(t),產生比每個UI采樣一次更詳細的波形。(圖片來源:Anritsu)
采樣點tsp是位于SBR(t)初始上升后的一個UI。
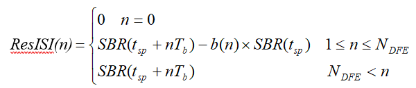
駐留ISI,可稱之為ResISI(n),是均衡后每個UI保留的ISI。為計算ResISI(n),我們需要在發射脈沖中包含發射器均衡——去加重或發射器前饋均衡(FFE)。我們還需要將接收器連續時間線性均衡(CTLE)的影響包括在內,這在ADS(Keysight高級設計系統)等IBIS仿真器中很容易實現。決策反饋均衡(DFE)可以手動輸入:

ResISI(n)是預均衡脈沖響應和后均衡脈沖響應之差,完美的均衡意味著對于所有n,ResISI(n)= 0。其中最酷的部分(我認為它很酷)是如何通過其抽頭b(n)將DFE明確包含在內。這是顯而易見的,對吧?但仍然不可思議。
為得到駐留ISI的單個參數測量值,只需添加其組成部分,即根平方和,就像為直角三角形添加一條邊一樣。
你可以在圖3中看到三個均衡器是如何影響脈沖的。

圖3:有和沒有均衡的脈沖響應的ADS IBIS仿真。(圖片來源:Wild River和Keysight)
可以使用同樣的方法,利用SBRx(t)來計算均衡方案如何影響串擾。借助侵擾器的SBR和SBRx,可以通過明確包含DFE的方式(就如我們對ResISI所做的)來計算任何波形的后均衡形狀。也就是說,你可以看到波形在深植到接收器內部的削波器(slicer)上看起來是什么樣子。
本文轉載自電子技術設計。
推薦閱讀:


