【導讀】大家都知道,電源效率對于便攜式設備以及模擬IC的噪聲抗擾度來說都非常重要。本文主要介紹電壓參考電路,其不僅支持極低的工作靜態電流(低于250nA),而且還符合標準CMOS工藝。
這種電路針對各種應用進行了優化設計,適合便攜式電子設備、汽車、醫療設備,以及高電源抑制比 (PSRR) 和開關噪聲抗擾度都非常重要的片上系統 (SoC) 實施。
上述電壓參考在低頻率下支持90dB。輸出電壓變化的標準偏差是 0.5%,在–40℃至125℃溫度范圍內的溫度系數為15ppm/℃。這些特性可在1.6V至5.5V的電源電壓范圍內實現??蓪嵤└鞣N用于為電壓參考實現輸入噪聲抗擾度的方法。
介紹
幾乎每款模擬電路都需要高精度高穩定參考電壓或電流源。不過,在選擇片上系統(SoC) 技術時,參考電壓模塊不應成為限制因素。也就是說這類系統所選用的技術工藝對于參考電壓源來說并不一定總是最理想的。因此,其設計應該更穩健,才能適應各種技術工藝的變化。
電池通??勺鳛镾oC的電源。這就更需要提高工作在大電源電壓范圍內的電壓參考源的線性穩壓性能。要延長電池使用壽命,就需要低靜態電源電流。同時,還需要在寬泛頻率下實現高電源抑制比(PSRR),以抑制來自高速數字電路、降壓轉換器或片上其它開關電路的噪聲。本文主要介紹具有高PSRR的超低靜態電流帶隙電壓參考。
基本帶隙電壓參考結構
改善 PSRR的主題思想是在低壓降穩壓器(LDO)后面布置一個帶隙電壓源?,F有線性穩壓器拓撲在靜態電流、DC負載穩壓、瞬態響應、去耦電容以及硅芯片面積要求方面存在很大差異。由于我們的目標是在沒有外部電容器的情況下,在同一芯片上提供全面集成型 LDO,因而典型LDO結構并不適合。
這些結構與超低靜態電源電流相矛盾。為了緩解這一矛盾,您可為LDO 使用與參考源相同的帶隙。不宜采用標準LDO結構的原因在于它需要輸出電容器來實現穩定工作。最佳選項是帶一個增益級的結構,其無需輸出電容器便可實現穩定。
低壓降穩壓器
圖1是該設計[1]中所使用LDO的內核及其簡化原理圖。圖1[2]中的M0和M4代表翻轉電壓跟隨器(FVF),其可實施無逆向功能及相關極點的單級穩壓。靜態電流由晶體管M1和M3確定。晶體管M2 可作為共柵放大器。
LDO的開環增益由第一個級聯級(即晶體管M2和M3)決定??勺鳛樨撦d的 M4 PMOS跟隨器存在低阻抗源,因此 FET M0的輸出增益接近1。在圖2中的小型信號等效電路的幫助下,對所推薦的 LDO結構進行穩定性分析,結果顯示只有一個極點(公式1):

可作為補償電容器的M0柵源電容器可創建 LDO的主極點。因此無需去耦片外電容器,便可使LDO[3]穩定。

圖1:具有翻轉電壓跟隨器、無輸出電容器的LDO

圖2:LDO的小型信號等效電路
這種LDO的另一項優勢是簡單的自啟動程序,其無需專用電路。最初,在電壓VDD 為 0 時,VOUT也為 0,跟隨器M4 在無反饋的情況下關閉,M1的偏置電流大于M3的偏置電流。因此,柵極電壓M0 不僅可降低,而且還可驅動輸出電壓VOUT至所選的輸出電壓值。
這種架構的缺點是線路穩壓及 PSRR差。原因在于低開環增益,因為它僅由一個增益級決定。合理的解決方案可能是第一級的級聯電流源,其可提高增益,進而可提高線路穩壓性能和PSRR。
圖1中的LDO輸出電壓為(公式2):
其中,VSET為參考電壓,VGS,M4是M4的柵源電壓。
因此,輸出電壓對溫度和工藝變化極為敏感。要避免這種問題,就必須創建一個更為理想的跟隨器,其中 M4 是反饋環路的一部分(圖3)。

圖3:M4位于放大器反饋環路中、無輸出電容器的LDO。
這種情況下的輸出電壓為公式3:
其中,A0是放大器的開環增益反饋。對于高反饋放大器增益而言,可使用公式4:

圖4:具有電阻式分壓器、M4位于放大器反饋環路、無輸出電容器的 LDO
在反饋環路(圖4)中添加電阻式分壓器后,輸出電壓轉變為:
VOUT=VSET(1+R1/R2)
FVF反饋放大器不影響整體 LDO穩定性,因為它位于主LDO反饋環路的外部。對于本地反饋環路而言,只要求設計方案穩定。
[page]
帶隙內核說明
所選用的帶隙內核(圖5)采用在標準CMOS 技術中廣泛使用的經典結構。

圖5:所推薦帶隙電壓參考內核的簡化方框圖
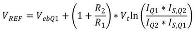
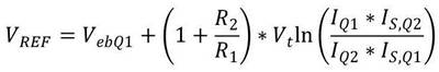
通過添加雙極性晶體管的負溫度系數基射極間電壓,可獲得帶隙電壓的低溫系數,從而可通過在不同電流密度下偏置的兩個基射極間電壓之差獲得正溫度系數電壓。為電阻器R2和R3選擇相等的值,參考電壓就可表示為公式5:

其中VEB是Q1的基射極間電壓,VT是熱電壓,IQ1和IQ2是通過晶體管Q1和Q2的電流,而 IS,Q1和IS,Q2則分別是Q1和Q2的飽和電流。
誤差源
要為任何帶隙電壓參考實現良好的精確度,必須定義總體精度誤差的主要形成因素[4]。以下是所推薦架構的最大誤差源:
放大器失調電壓
電阻器R1與R2之間的不匹配
雙極性晶體管的飽和電流不匹配
電阻器R1、R2和R3的變化
放大器失調電壓
放大器失調電壓對于參考電壓精確度來說很關鍵,因為它通過與發射-基極電壓差相同的方式放大。盡管我們可以通過增大雙極性晶體管的面積比來減少對放大器失調電壓的影響,但由于電壓差具有對數尺度,因此我們會受到這個比例的合理值限制。在本例中,我們選擇的比例為24。
對放大器失調電壓影響最大的是輸入級晶體管閥值電壓變化。它可通過增大放大器輸入對的尺寸來改善(公式6)。

電阻器R1與R2之間的不匹配
電阻器R1與R2之比可定義公式5中正溫度系數項的增益。為了讓該增益系數準確,我們使用較大面積單位電阻器。使用特殊的電阻器布局,可實現0.1%的誤差比例精度。
雙極性晶體管的電阻器與飽和電流的變化
這兩種變化會導致雙極性晶體管的基極-發射極電壓Veb發生偏移?;鶚O-發射極電壓可按公式7確定:

其中,I是發射極電流,IS是雙極性晶體管的飽和電流。引起IS變化的主要原因是Q1和Q2晶體管面積的不匹配以及雜質濃度的變化。
電阻器R1的變化可影響通過晶體管Q2 的電流I的絕對值,它是負溫度系數項VEB的一部分。
電阻器R2和R3分別可確定通過Q1和Q2 的電流值。R2和R3的變化可導致參考電壓(公式5)的正溫度系數不準確。不過,可通過對電阻器R2與R3進行良好匹配來降低該變化所引起的誤差。
高PSRR帶隙電壓參考電路
由于上述傳統電壓參考架構的所有缺點,我們建議采用改進的電壓參考,它是帶隙電壓參考與低壓降穩壓器的整合解決方案(圖6)。

圖6:帶隙電壓參考結合低壓降穩壓器的方框圖
該示例中的輸出電壓可由公式8確定:
VREF節點既是帶隙參考的輸出節點,同時也是帶隙核心電路的電源線。這有助于我們通過 LDO保護帶隙核心電路免受電源電壓紋波影響。
要獲得小靜態電流,電阻器 R1、R2、R3和R4的值就會比較大,推薦電路的電阻為8MΩ。這可使通過 Q1和Q2的電流降低至 40nA。推薦架構的整體靜態電流為250nA。除此之外,我們還可采用一款靜態電流為100nA的偏置電流電源。
偏置電流電路
所推薦的偏置電流電路基于一種著名的電路結構(如圖7所示),在參考文獻5[5]中有詳細介紹。
在該電路中,兩個N型晶體管M5和M7構成第一個增益為S7/S5 的電流鏡,而兩個P型晶體管M4和M6 則構成第二個增益為S4/S6 的電流鏡,其中S4、S5、S6和S7是相應晶體管的面積。
偏置發生器通常不需要特別啟動電路,這可減少靜態電流和占用面積。如果電流足夠小,電阻R 就可以忽略。由M5/M7和M4/M6構成的兩個電流鏡可互連成一個閉環。
該環路增益大于單位增益,因此兩個分支中的電流都會增大,直至達到均衡為止。這將由電阻R的壓降定義,可表示為公式9:


圖7:具有動態啟動電流的偏置生成器
要加快啟動速度并避免可能的漏電影響,可使用一款附加啟動電路。晶體管M0 可作為具有極大電阻的橫向雙極性 NPN晶體管使用,其可最大限度地降低啟動電流。電容器 C 不僅可在電路加電時提供快速瞬態啟動,而且還可防止啟動電路發生振蕩。在啟動之后,電路由晶體管M2阻斷。偏置模塊的偏置電流是40nA??偭骱氖?80nA。
[page]
驗證結果
所推薦帶隙參考不僅可用于超低噪聲、高PSRR的低壓降穩壓器,而且還可采用CMOS 9T5V 技術實施。PSRR值如圖8所示,輸出電壓精度的蒙特卡洛溫度變化仿真結果如圖9所示。測量結果請參見表1。

圖8:電壓參考源的PSRR

圖9:輸出電壓精度

表1.測量數據
總結
我們不僅介紹了采用 CMOS9T5V 0.18μm工藝實施的、高PSRR 的極低功耗帶隙電壓參考,而且還詳細介紹了最大限度降低功耗和最大限度提高PSRR的設計條件。將帶隙電壓參考與低壓降穩壓器相結合,可在100Hz下獲得93dB的高PSRR。該電路的最大靜態電流僅為250nA,是超低功耗應用最具吸引力的選擇。

參考文獻
J. Guo和K. N. Leung,《采用 90 納米 CMOS工藝技術實施的、無輸出電容器的小型 6uWLDO》,摘自《IEEE固態電路雜志》2010年9月第 48卷第 9 號;
Blakiewicz, G.,《支持更快時間響應的CMOS低壓降穩壓器》,摘自《2011年第18屆國際大會會議記錄 — 集成電路與系統混合設計 (MIXDES)》2011年6月16 ~ 18 日第 ××卷第 ×× 號的第 279 頁 ~ 282 頁;
P. Hazucha、T. Karnik、B. A. Bloecher、C. Parsons、D. Finan 和 S. Borkar,《支持超快負載調節的小型線性穩壓器》,摘自《IEEE固態電路雜志》2005 年 4 月第 45 卷第 4 號;
S. Strik,《帶隙電壓參考:誤差及其最小化方法》,摘自《BEC 2006會議記錄》2006年10月2日第 123 頁 ~ 126頁;
E. Vittoz 與 J. Fellrath,《基于弱反向工作的CMOS模擬集成電路》,摘自《IEEE固態電路雜志》1977年6月SC-12卷第 3 號;
如欲了解有關LDO的更多詳情,敬請訪問:www.ti.com/ldo-ca。


